HC02 - Problems + Homework Flashcards

(42 cards)

1
Q

Welke van de twee plaatjes is een Fischer weergave en welke is een stereochemische weergave?

A

A = stereochemische weergave

B = Fischer weergave

How well did you know this?
1
Not at all
2
3
4
5
Perfectly
2
Q

De asymmetrie van een aminozuur is het resultaat van…?

A

Dat het α-koolstofatoom 4 verschillende groepen gebonden heeft.

How well did you know this?
1
Not at all
2
3
4
5
Perfectly
3
Q

Is glycine asymmetrisch?

A

Nee, het heeft geen 4 verschillende zijgroepen

How well did you know this?
1
Not at all
2
3
4
5
Perfectly
4
Q

Zet bij A t/m E of het geldt voor proline, tyrosine, leucine en lysine

A

A = leucine, proline

B = lysine

C = tyrosine, lysine

D = tyrosine, lysine

E = tyrosine

How well did you know this?
1
Not at all
2
3
4
5
Perfectly
5
Q
A

A = 6

B = 2

C = 3

D = 1

E = 4

F = 5

How well did you know this?
1
Not at all
2
3
4
5
Perfectly
6
Q

Bepaal voor elk van de volgende aminozuurparen welk aminozuur het best oplosbaar is in water:

a) Ala, Leu
b) Tyr, Phe
c) Ser, Ala
d) Trp, His

A

a) Ala
b) Tyr
c) Ser
d) His

How well did you know this?
1
Not at all
2
3
4
5
Perfectly
7
Q

Wat is de netto lading van het aminozuur glycine bij pH 7? En bij pH 12?

A

Bij pH 7 is er geen netto lading, bij pH 12 is de netto lading -1

How well did you know this?
1
Not at all
2
3
4
5
Perfectly
8
Q

Het iso-elektrisch punt (pI) is de pH waarbij een molecuul geen nettolading heeft. Het aminozuur glycine heeft twee ioniseerbare groepen: a) een carboxylzuurgroep met een pKa van 2,72 en b) een aminogroep met een pKa van 9,60. Bereken de pI van glycine.

A
How well did you know this?
1
Not at all
2
3
4
5
Perfectly
9
Q

Wat is het verschil tussen een niet-essentieel en een essentieel aminozuur?

A

Niet-essentiële aminozuren kunnen worden gesynthetiseerd uit andere moleculen in het lichaam. Essentiële aminozuren kunnen dat niet en moeten dus via de voeding worden opgenomen.

How well did you know this?
1
Not at all
2
3
4
5
Perfectly
10
Q

Welke 3 aminozuren hebben een aromatisch component in hun zijketen?

A
How well did you know this?
1
Not at all
2
3
4
5
Perfectly
11
Q

Welke aminozuren hebben een zijketen die kan ioniseren?

A

Aspartaat, glutamaat, histidine, cysteïne, tyrosine, lysine en arginine

How well did you know this?
1
Not at all
2
3
4
5
Perfectly
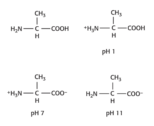
12
Q

Een aminozuur met twee ioniseerbare groepen kan in vier mogelijke ionisatietoestanden voorkomen. Teken de vier mogelijke ionisatietoestanden voor alanine en geef aan welke toestand overheerst bij pH 1, pH 7 en pH 11.

A
How well did you know this?
1
Not at all
2
3
4
5
Perfectly
13
Q

Voor een aminozuur als alanine is de belangrijkste soort in oplossing bij pH 7 de zwitterionische vorm. Ga uit van een pKa waarde van 8 voor de aminogroep en een pKa waarde van 3 voor het carboxylzuur. Schat de verhouding tussen de concentratie van het neutrale aminozuur (met het carboxylzuur geprotoneerd en de aminogroep neutraal) en die van het zwitterionzuur bij pH 7.

A

Als je de Henderson-Hasselbalch vergelijking gebruikt, vind je dat de ratio van alaline-COOH tot alanine-COO- bij pH 7, 10-4 is. De ratio van alanine-NH2 tot alanine-NH3+ is 10-1. De ratio van het neutrale aminozuur tot het zwitterion is dus 10-5 (10-4 * 10-1).

How well did you know this?
1
Not at all
2
3
4
5
Perfectly
14
Q

Bepaal de pKa voor de carboxyl-groep en de amino-groep van dit aminozuur

A

Bedenk dat de pKa de pH is waarbij de concentratie van de niet geïoniseerde vorm van een molecuul gelijk is aan de geïoniseerde vorm. De carboxylgroep in figuur 3.2 heeft een pKa
van iets meer dan 2, terwijl de aminogroepen een pKa van 9 hebben.

How well did you know this?
1
Not at all
2
3
4
5
Perfectly
15
Q

De R-groep van lysine heeft een aminogroep die positief geladen kan zijn of een proton kan verliezen om neutraal te worden. De pKa waarde van de aminogroep is 10,8. Bepaal de fractie van de aminogroep die geprotoneerd is bij pH=9,8 en pH=11,8

A
How well did you know this?
1
Not at all
2
3
4
5
Perfectly
16
Q

Glutaminezuur heeft een R-groep dat een carboxyl-groep bevat waarvan de pKa 4,1 is. Welk gedeelte van de R-groep carbonzuur is geprotoneerd bij pH=2,1 en pH=7,1?

A
How well did you know this?
1
Not at all
2
3
4
5
Perfectly
17
Q

Wat is de amino terminus van de tripeptide Gly-Ala-Asp?

18
Q

Wat is ongeveer het moleculaire gewicht van een proteïne die bestaat uit 300 aminozuren?

A

Het gemiddelde moleculaire gewicht van aminozuren is 110. Een proteïne met 300 aminozuren heeft dan een gewicht van gemiddeld 33.000

19
Q

Hoeveel aminozuren heb je gemiddeld nodig om een proteïne te vormen met een moleculair gewicht van 110.000?

A

Ongeveer 1000 aminozuren

20
Q

Eiwitten zijn vrij stabiel. De levensduur van een peptidebinding in waterige oplossing is bijna 1000 jaar. De vrije energie van hydrolyse van eiwitten is echter negatief en vrij groot. Hoe kun je de stabiliteit van de peptidebinding verklaren in het licht van het feit dat bij hydrolyse veel energie vrijkomt?

A

De energiebarrière die moet worden overschreden om van de gepolymeriseerde toestand over te gaan naar de gehydrolyseerde toestand is groot, ook al is de reactie thermodynamisch gunstig.

21
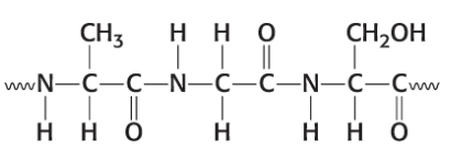
Q

Welke 3 aminozuren zijn aanwezig? Welke is de dichtsbijzijnde N-terminal aminozuur? Identificeer de peptide bindingen en de α-koolstof atomen.

A

Alaline-glycine-serine. Het N-terminal aminozuur is alanine. De peptide bindingen zitten tussen de tweede C en N, en de 4de C en N. De α-koolstofatomen zijn de 1ste 3de en 5de koolstofatoom.

22
Q

Teken de structuur van de dipeptide Gly-His. Wat is de lading van het peptide bij pH 4.0? Bij pH 7,5?

23
Q

Waarom kan de pKa van een individuele groep in proteïnen verschillen?

A

Dit geeft aan dat de pKa waarde anders kan zijn dankzij de chemische omgeving

24
Q

Waarom is rotatie om de peptidebinding verboden, en wat zijn de gevolgen van het ontbreken van rotatie?

A

De peptide binding heeft een dubbele binding karakter, die rotatie tegengaat. Dit behoudt de conformatie van de peptide ruggengraat en limiteert mogelijke structuren.

25
Bereken de axiale lengte van een α-helix die 120 aminozuren lang is. Hoe lang zou de polypeptide zijn als hij volledig uitgestrekt was?
De translatie van een α-helix is 1,5 Å/aminozuur. Daarom zou de axiale lengte van de helix 1,5 Å/aminozuur × 120 aminozuren = 180 Å zijn. In een volledig verlengde polypeptideketen is de afstand tussen de aminozuren 3,5 Å, dus de lengte van de volledig verlengde keten zou 420 Å
26
Wat wordt er bedoeld met de polypeptide ruggengraat (polypeptide backbone)
De repeterende eenheid stikstof-α koolstof-carbonyl koolstof
27
Wat is het verschil tussen de aminozuur compositie en de aminozuur sequentie?
Aminozuursamenstelling verwijst gewoon naar de aminozuren waaruit het eiwit bestaat. De volgorde is niet gespecificeerd. Aminozuursequentie is hetzelfde als de primaire structuur - de volgorde van aminozuren van de aminoterminal tot de carboxylterminal van het eiwit. Verschillende eiwitten kunnen dezelfde aminozuursamenstelling hebben, maar de aminozuursequentie identificeert een uniek eiwit.
28
Noem wat voordelen van het weten van de primaire struction van een proteïne
De primaire structuur bepaalt de tertiaire structuur. Kennis van de primaire structuur helpt de functie van het eiwit op te helderen. Kennis van de primaire structuur van gemuteerde eiwitten maakt het mogelijk de biochemische basis van sommige ziekten te begrijpen. De primaire structuur kan de evolutionaire geschiedenis van het eiwit onthullen.
29
Noem enkele verschillen tussen een α-helix en een β-streng.
De helix is een gecondenseerde, opgerolde structuur, met de R-groepen naar buiten gericht vanaf de as van de helix. De afstand tussen twee aangrenzende aminozuren is 1,5 Å. De streng is een volledig verlengde polypeptideketen, en de zijketens van aangrenzende aminozuren wijzen in tegengestelde richting. De afstand tussen aangrenzende aminozuren is 4,5 Å. Beide structuren worden gestabiliseerd door waterstofbruggen tussen de componenten van de polypeptide ruggengraat.
30
Welke niveaus van proteïne structuur zijn er? Beschrijf de type binding eigenschappen van elk niveau.
* Primaire structuur - peptidebinding * Secundaire structuur - lokale waterstofbindingen tussen componenten van de polypeptide ruggengraat * Tertiaire structuur - verschillende soorten niet-covalente bindingen tussen R-groepen die ver uit elkaar liggen in de primaire structuur * Quaternaire structuur - verschillende niet-covalente bindingen tussen R-groepen aan het oppervlak van subeenheden.
31
Een mutatie die een alanineresidu in het inwendige van een eiwit verandert in valine, blijkt te leiden tot verlies van activiteit. De activiteit wordt echter hersteld wanneer een tweede mutatie op een andere plaats een isoleucineresidu verandert in glycine. Hoe kan deze tweede mutatie leiden tot herstel van de activiteit?
De eerste mutatie vernietigt de activiteit omdat valine meer ruimte inneemt dan alanine, zodat het eiwit een andere vorm moet aannemen, ervan uitgaande dat dit residu in het dicht opeengepakte binnenste ligt. De tweede mutatie herstelt de activiteit door een compenserende vermindering van het volume; glycine is kleiner dan isoleucine.
32
Veel van de beschreven lussen op de eiwitten bestaan uit hydrofiele aminozuren. Waarom?
Lussen bevinden zich altijd op het oppervlak van eiwitten, blootgesteld aan de omgeving. Omdat veel eiwitten in een waterige omgeving voorkomen, zijn de blootgestelde lussen hydrofiel, zodat zij met water kunnen interageren.
33
Wat doet hitte met een proteïne?
Hitte zou de thermische energie van de keten verhogen. De zwakke bindingen die de keten in zijn juiste driedimensionale structuur houden, zouden niet bestand zijn tegen het wiebelen van de ruggengraat, en de tertiaire structuur zou verloren gaan. Vaak zouden de gedenatureerde ketens met elkaar reageren en grote complexen vormen die uit de oplossing neerslaan.
34
Wat doet de toevoeging van hydrofobische detergenten met de denaturatie van een proteïne?
Detergenten zouden het eiwit denatureren door het in wezen binnenstebuiten te keren. De hydrofobe residuen aan de binnenkant van het eiwit zouden met het detergens reageren, terwijl de hydrofiele residuen met elkaar en niet met de omgeving zouden interageren.
35
Wat doet een grote verandering in de pH met een proteïne?
Alle ionische interacties, inclusief waterstofbruggen, zouden verstoord worden waardoor de proteïne denatureerd
36
Glycine is een sterk geconserveerd aminozuur residu in de evolutie van eiwitten. Waarom?
Glycine has the smallest side chain of any amino acid. Its size is often critical in allowing polypeptide chains to make tight turns or to approach one another closely.
37
De toegevoegde β-mercapto-ethanol vergemakkelijkte de herschikking van disulfideparen totdat de natieve structuur werd hersteld. Dit proces werd aangedreven door de afname van de vrije energie naarmate de verstoorde conformaties werden omgezet in de stabiele, natieve conformatie van het enzym. De natieve disulfideparen van ribonuclease dragen dus bij tot de stabilisatie van de thermodynamisch geprefereerde structuur.
38
Een protease is een enzym dat de hydrolyse van de peptidebindingen van doeleiwitten katalyseert. Hoe kan een protease een doeleiwit binden zodat de hoofdketen ervan volledig verlengd wordt in de buurt van de kwetsbare peptidebinding?
Een segment van de hoofdketen van het protease kan een waterstofbinding aangaan met de hoofdketen van het doeleiwit om een verlengd parallel of antiparallel β-strengenpaar te vormen.
39
Wat is de meest waarschijnlijke staat van alanine bij een pH van 11?
Nummer 2
40
Welke uitspraken over disulfide bruggen zijn waar?
2, 3, en 4
41
Welke uitspraken over peptide bindingen zijn waar?
2 en 5
42
Welke uitspraken over secundaire structuren van proteïnen waar?
1, 3, en 5