Brainscape
Find Flashcards
Discover millions of Flashcards
Browse Brainscape-Certified Flashcards
Learn faster with our catalog of expert certified, pre-made flashcards.
Browse All Flashcards
Browse our full catalog of user-generated and Brainscape-Certified flashcards.
Explore the
Knowledge Genome
of subjects:
Entrance Exams
Professional Certifications
Foreign Languages
Medical & Nursing
Science
English
Humanities & Social Studies
Mathematics
Law
Vocations
Health & Fitness
Business & Finance
Technology & Engineering
Food & Beverage
Fine Arts
Random Knowledge
Make Flashcards
How It Works
Features Overview
The Science of Studying
Educators
Schools & Teachers
Tutors & Resellers
Businesses
Employee Training
Publishers & Resellers
Academy
Academy Homepage
The Science of Studying
Study Tips
Teaching Tips
Employee Training Tips
Language Learning Tips
Test Prep Tips
Log in
My Dashboard
Get Started
Log out
BIOL 302
> head group > Flashcards
head group Flashcards
(9 cards)
Study These Flashcards
1
Q
serine
A
How well did you know this?
1
Not at all
2
3
4
5
Perfectly
2
Q
ethanolamine
A
How well did you know this?
1
Not at all
2
3
4
5
Perfectly
3
Q
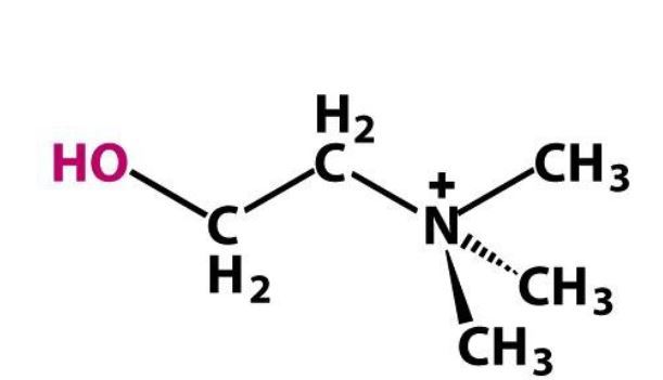
choline
A
How well did you know this?
1
Not at all
2
3
4
5
Perfectly
4
Q
glycerol
A
How well did you know this?
1
Not at all
2
3
4
5
Perfectly
5
Q
A
serine
How well did you know this?
1
Not at all
2
3
4
5
Perfectly
6
Q
A
ethanolamine
How well did you know this?
1
Not at all
2
3
4
5
Perfectly
7
Q
A
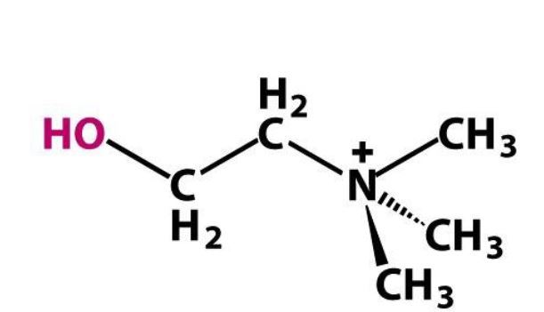
choline
How well did you know this?
1
Not at all
2
3
4
5
Perfectly
8
Q
A
glycerol
How well did you know this?
1
Not at all
2
3
4
5
Perfectly
9
Q
A
inositol
How well did you know this?
1
Not at all
2
3
4
5
Perfectly
BIOL 302
flashcards
Decks in class (23)
# Cards
Amino acids
20
Classes of Enzymes
9
nucleic acid chemistry
10
lipid structures
15
glycerophospholipids structures
7
fatty acid structures
12
head group
9
FAS: structure of intermediates
6
FAS: enzymes and numerical steps
4
sphingosine naming: X-groups
5
steroids
6
Beta-oxidation enzyme and by-products
4
beta-oxidation intermediates
5
aminotransferase prosthetic group
3
Apoliproprotein
5
core lipids of lipoprotein particle
5
lipoprotein particle, lipid delivery
5
lipoprotein particle, main function
5
ketone bodies
3
urea cycle structure
9
other amino acid metabolism structure
5
cholesterol synthesis
15
pop quiz
14