lipid structures Flashcards

(15 cards)

1
Q
A

fatty acid

How well did you know this?
1
Not at all
2
3
4
5
Perfectly
2
Q
A

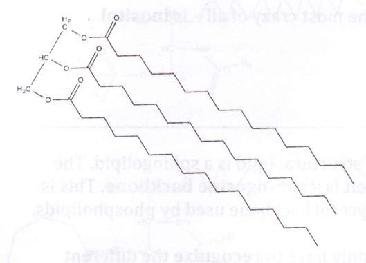
triacylglycerol (TAG)

How well did you know this?
1
Not at all
2
3
4
5
Perfectly
3
Q
A

wax

How well did you know this?
1
Not at all
2
3
4
5
Perfectly
4
Q
A

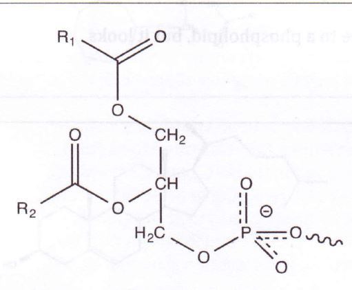
glycerolphospholipid

How well did you know this?
1
Not at all
2
3
4
5
Perfectly
5
Q
A

ethanolamine

How well did you know this?
1
Not at all
2
3
4
5
Perfectly
6
Q
A

choline

How well did you know this?
1
Not at all
2
3
4
5
Perfectly
7
Q
A

serine

How well did you know this?
1
Not at all
2
3
4
5
Perfectly
8
Q
A

inositol

How well did you know this?
1
Not at all
2
3
4
5
Perfectly
9
Q
A

sphingosine backbone

How well did you know this?
1
Not at all
2
3
4
5
Perfectly
10
Q
A

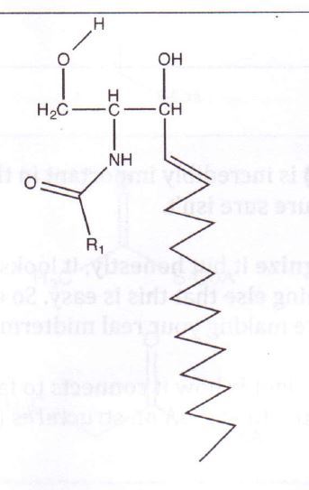
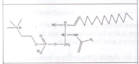
ceramide

How well did you know this?
1
Not at all
2
3
4
5
Perfectly
11
Q
A

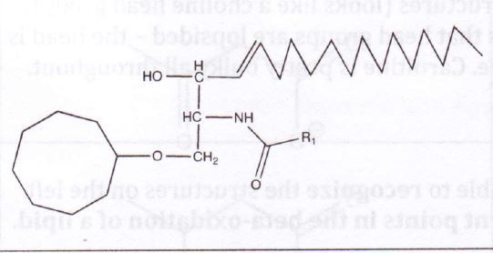
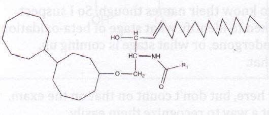
sphingomyelin

How well did you know this?
1
Not at all
2
3
4
5
Perfectly
12
Q
A

cerebrosides

How well did you know this?
1
Not at all
2
3
4
5
Perfectly
13
Q
A

globosides

How well did you know this?
1
Not at all
2
3
4
5
Perfectly
14
Q
A

cholesterol

How well did you know this?
1
Not at all
2
3
4
5
Perfectly
15
Q
A

glycerol

How well did you know this?
1
Not at all
2
3
4
5
Perfectly