Incertitudes Flashcards

(23 cards)

1
Q

Quelle est la différence entre une incertitude de type A et une incertitude de type B ?

A
  • Type A : incertitude statistique, qui se base sur différentes mesures de la même grandeur
  • Type B : incertitude non statistique qui se base sur une unique mesure
How well did you know this?
1
Not at all
2
3
4
5
Perfectly
2
Q

Exprimer la moyenne /x, l’écart-type s_exp et l’incertitude-type u(x), associés à n mesures d’une grandeur x (incertitude de type A).

Aux concours, combien de mesures fait-on ?

A

La variance est la moyenne des écarts à la moyenne au carré

L’écart-type est la racine de la variance

How well did you know this?
1
Not at all
2
3
4
5
Perfectly
3
Q

Exprimer l’incertitude-type de type B

A
How well did you know this?
1
Not at all
2
3
4
5
Perfectly
4
Q

Soit une résistance R = 200Ω avec une tolérance de 5%, calculer l’incertitude-type sur R

A

Donc R = 200,0 +- 5,8 Ω

(Attention, il faut tout multiplier par 2 à la fin pour avoir un intervalle de confiance à 95%)

How well did you know this?
1
Not at all
2
3
4
5
Perfectly
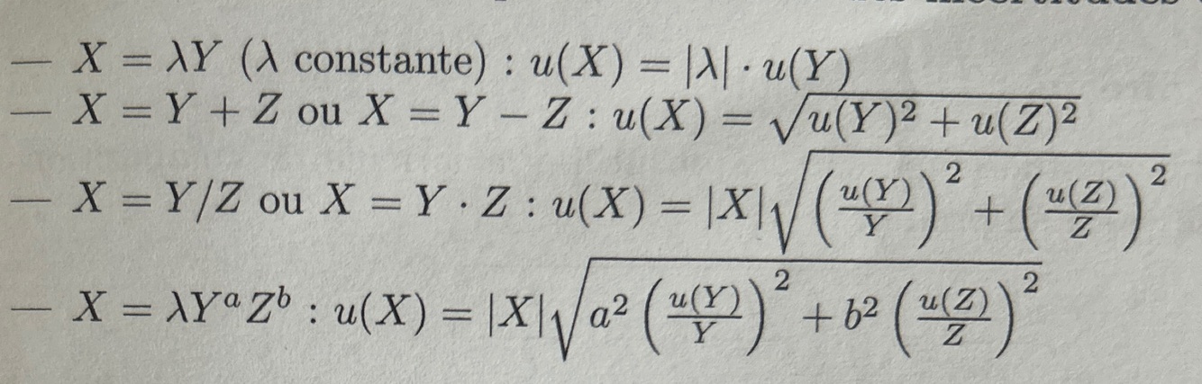
5
Q

Donner les expressions des incertitudes composées suivantes :

  • X = λ.Y
  • X = Y + Z
  • X = λ.Ya.Zb
A
  • pour les multiplications et les sommes : c’est juste une norme !
  • pour les produit : on peut tout mettre au carré pour retenir c’est plus simple
How well did you know this?
1
Not at all
2
3
4
5
Perfectly
6
Q

Déterminer u(ω0)/ω0

5%* à la fin

A
How well did you know this?
1
Not at all
2
3
4
5
Perfectly
7
Q

Comment estimer l’incertitude-type d’un paramètre à partir d’un régression linéaire (si elle n’est pas donnée) ?

A

On trace deux droites supplémentaires extrêmes possible : l’une avec le paramètre maximum et l’autre avec le paramètre minimum possible, alors on fait une incertitude de type B : la demi différence des deux paramètres divisée par √(3) vaut l’incertitude-type

How well did you know this?
1
Not at all
2
3
4
5
Perfectly
8
Q

Donner l’ordre de grandeur des inductances

A

10mH < L < 1H

How well did you know this?
1
Not at all
2
3
4
5
Perfectly
9
Q

Donner l’ordre de grandeur des capacités

A

1nF < C < 1mF

How well did you know this?
1
Not at all
2
3
4
5
Perfectly
10
Q

Que vaut l’impédance caractéristique d’un cable coaxial ?

A

ZC = 50Ω

How well did you know this?
1
Not at all
2
3
4
5
Perfectly
11
Q

Donner un ordre de grandeur de Rentrée et Centrée d’un oscilloscope

A
  • Rentrée ≈ 1MΩ
  • Centrée ≈ 10pF
How well did you know this?
1
Not at all
2
3
4
5
Perfectly
12
Q

Donner un ordre de grandeur de la résistance interne d’un voltmètre

A

Ri ≈ 10MΩ

How well did you know this?
1
Not at all
2
3
4
5
Perfectly
13
Q

Quelle est la couleur de plus petit λ dans le visible ? De plus grand λ ? Donner les valeurs des λ

A
  • Plus petit λ : λ(Violet) = 400nm
  • Plus grand λ : λ(Rouge) = 750nm
How well did you know this?
1
Not at all
2
3
4
5
Perfectly
14
Q

Que vaut, en ordre de grandeur, la différence entre l’indice de l’air et celui du vide ?

A

3 × 10-4

How well did you know this?
1
Not at all
2
3
4
5
Perfectly
15
Q

Que vaut la longueur d’onde d’un laser He-Ne ?

A

λ = 633nm

How well did you know this?
1
Not at all
2
3
4
5
Perfectly
16
Q

Que vaut, en ordre de grandeur, la longueur de cohérence d’un laser He-Ne

17
Q

Quelle est la longueur d’onde de la raie verte du mercure Hg ?

18
Q

Que vaut la longueur de cohérence d’une lumière blanche classique ?

A

lC ≈ 1 μm = 10-6 m

19
Q

Quelle est la plage de vision nette d’un oeil classique ?

A

25 cm → +∞

20
Q

Quelle est la plage de f’ courantes ?

A

10cm < f’ < 1m

21
Q

Quelle est la célérité du son dans l’air ?

22
Q

Qu’est-ce qu’un z-score ?
Comment le calculer et l’interpréter ?

A

Permet d’évaluer la cohérence d’une mesure donnée

Pour le calculer ;

  • calculer la moyenne (somme/N)
  • calculer l’écart-type (√((somme écarts à la moyenne)²/N)
  • appliquer la formule

Pour l’interpréter :

  • s’il vaut 0 : la valeur est exactement égale à la moyenne
  • le signe indique s’il est au-dessus ou en-dessous de la moyenne
  • |Z| < 2 : valeur cohérente
  • |Z| > 2 : valeur atypique, il y a peut être eu un problème dans son obtention
Mesure statistique qui indique de combien d’écart-types une valeur est espacée de la moyenne
23
Q

Comment répondre si on nous demande si une valeur est compatible ?

A

Faire un z-score et regarder s’il est plud grand ou petit que 2 en valeur absolue