Incertitudes ECL Flashcards

(26 cards)

1
Q

Qu’est-ce que la chaine d’acquisition

A
How well did you know this?
1
Not at all
2
3
4
5
Perfectly
2
Q

Quels sont les paramètres importants d’une mesure ?
Comment sont-ils liés et quelle est la conséquence ?

A
  • temps de mesure T
  • taille échantillon N
  • fréquence d’acquisition F

Liées par : N = T * F

On choisit donc les deux qui nous intéressent (temps limité etc…)

How well did you know this?
1
Not at all
2
3
4
5
Perfectly
3
Q

Comment fixe-t-on le durée et la fréquence en général sur une expérience avec plusieurs phénomènes périodiques ?

A
  • environ 10 fois plus longtemps que le phénomène le plus long (pour une moyenne ou quoi)
  • au moins deux fois plus fréquent que le phénomène le plus rapide (Shanon-Niquist)
How well did you know this?
1
Not at all
2
3
4
5
Perfectly
4
Q

Que faire si on a une incertitude très grande par rapport à une autre ?

A

On néglige la plus faible, mais il faut expliquer et justifier (ne pas oublier de multiplier par la sensibilité car c’est le tout qui compte à la fin)

How well did you know this?
1
Not at all
2
3
4
5
Perfectly
5
Q

Qu’appelle-t-on les incertitudes systématiques ?

A

Incertitudes systématiques (ou biais) :

Incertitude qui se produit à toutes les mesures. Cette incertitude est indépendante des fluctuations physiques de l’écoulement.

How well did you know this?
1
Not at all
2
3
4
5
Perfectly
6
Q

Comment corriger en grande partie les biais ?

A

En procédant à un bon étalonnage des instruments.

How well did you know this?
1
Not at all
2
3
4
5
Perfectly
7
Q

Quelles sont les différentes incertitudes systématiques ?

A
  • biais de calibration : intrinsèque et donné sur l’appareil
  • biais de lecture : leur évaluation dépend du type d’appareil par lequel s’effectue la lecture de la mesure
How well did you know this?
1
Not at all
2
3
4
5
Perfectly
8
Q

Comment évaluer le biais de lecture ?

A

Avant d’estimer : voir si l’incertitude n’est pas donnée

Sinon :

  • pour un afficheur analogique, le biais de lecture = moitié de la plus petite graduation
  • pour un afficheur numérique, le biais de lecture = moitié du dernier arrondi effectué (attention, si c’est des 0 après il les affiche pas forcément)
  • pour une mesure transférée à un ordinateur via un système d’acquisition, le biais de “lecture” = la moitié de la résolution du convertisseur analogique - numérique (dV/2^n, avec dV la plage de mesure de la carte d’acquisition), c’est typiquement le genre de chose qu’on estime puis on dit que c’est négligeable
How well did you know this?
1
Not at all
2
3
4
5
Perfectly
9
Q

Qu’appelle-t-on les incertitudes aléatoires ?

A

Incertitudes aléatoires (ou précision) :

C’est la dispersion des mesures autour de la valeur moyenne, à la fois induite par la fluctuation de la physique observée et les fluctuations de l’instrument de mesure (bruit électromagnétique en particulier).

How well did you know this?
1
Not at all
2
3
4
5
Perfectly
10
Q

Quelle est l’incertitude de biais totale si on en a plusieurs ?

A

C’est la racine de la somme des carrés

How well did you know this?
1
Not at all
2
3
4
5
Perfectly
11
Q

Quelle est l’incertitude de précision totale si on en a plusieurs ?

A

C’est la racine de la somme des carrés

How well did you know this?
1
Not at all
2
3
4
5
Perfectly
12
Q

Comment calcule-t-on, de manière générale, l’incertitude totale ?

A

L’incertitude totale est la somme quadratique des incertitudes systématique et aléatoire. Elle s’écrit de manière générale, en utilisant les notations précédentes, comme :

How well did you know this?
1
Not at all
2
3
4
5
Perfectly
13
Q

Définir la moyenne

A
How well did you know this?
1
Not at all
2
3
4
5
Perfectly
14
Q

Définir l’écart-type

A
How well did you know this?
1
Not at all
2
3
4
5
Perfectly
15
Q

Dans le cas d’une gaussienne, à quoi correspond une plage de +-sigma (tel) autour de la valeur moyenne ?

A

68% des valeurs expérimentales y sont contenues

How well did you know this?
1
Not at all
2
3
4
5
Perfectly
16
Q

Dans le cas d’une gaussienne, à quoi correspond une plage de +-2.sigma (tel) autour de la valeur moyenne ?

A

95% des valeurs expérimentales y sont contenues

17
Q

Dans le cas d’une gaussienne, à quoi correspond une plage de +-2,7.sigma (tel) autour de la valeur moyenne ?

A

99% des valeurs expérimentales y sont contenues

18
Q

Comment s’exprime l’incertitude pour une répartition Gaussienne lorsqu’on a pu effectuer beaucoup de mesures (plus grand que 100, globalement à la machine) ?

19
Q

A quoi correspond le facteur tp et comment le choisir ?

A

p : pourcentage des valeurs qu’on veut inclure avec notre incertitude

En ingénierie, souvent p = 95%, tp vaut alors à peu près 2 (c’est ce qu’on faisait en prépa quand on multipliait par 2 à la fin)

20
Q

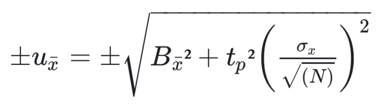
Comment s’exprime l’incertitude pour une répartition Gaussienne lorsqu’on a pu effectuer beaucoup de mesures (plus petit que 100, globalement à la main) ?

21
Q

A quoi correspond le facteur tµp et comment le choisir ?

A
  • µ = N-1, avec N le nombre de répétitions, c’est le nombre de degrés de liberté
  • p pareil qu’avant

Ensuite on va dans les tables pour trouver les valeurs de tµp (sur moodle)

22
Q

Pourquoi travaille-t-on principalement avec des Gaussiennes ?

A

Car d’après le théorème central limite, la distribution des moyennes des distributions sera une Gaussienne, même si les distributions initiales ne le sont pas

23
Q

A quoi faut-il faire attention à la multiplication par tp ou tµp ?

A

Attention : on multiplie par tp ou tµp seulement les erreurs de précision, pas celles de biais

24
Q

Comment remonter à l’incertitude sur la valeur d’intérêt à partir des incertitudes sur chacune des grandeurs mesurées ?

A

Attention : il faut avoir fait autant de mesures pour chacune des grandeurs

(À peu près Taylor au premier ordre)

25
Rappeler la masse volumique de l'air
1,2 kg.m-3, attention à ne pas confondre avec l'eau à 1,0 kg.m-3
26
Comment quantifier les incertitudes sur une lecture graphique ?
On reporte l'erreur calculée sur l'axe abscisses, puis on reporte sur l'axe des ordonnées et on voit. Attention à prendre aussi en compte l'erreur due à la lecture sur l'axe des ordonnées. Si l'incertitude de mesure est plus petite que celle de lecture on ne garde que celle de lecture (c'est l'objectif, ça veut dire que la mesure a été suffisamment précise).