Integration Flashcards

(32 cards)

1
Q

What is integration?

A

The opposite of differentiation

How well did you know this?
1
Not at all
2
3
4
5
Perfectly
2
Q

When would Integration be used?

A

Finding the area between a curve and the x axis between two points

How well did you know this?
1
Not at all
2
3
4
5
Perfectly
3
Q

What is the notation for integration?

A
How well did you know this?
1
Not at all
2
3
4
5
Perfectly
4
Q

What is the difference between indefinite and definite integration?

A

Indefinite means we don’t have x values to take into account, so there will always be + c at the end, as the exact expression is unknown

How well did you know this?
1
Not at all
2
3
4
5
Perfectly
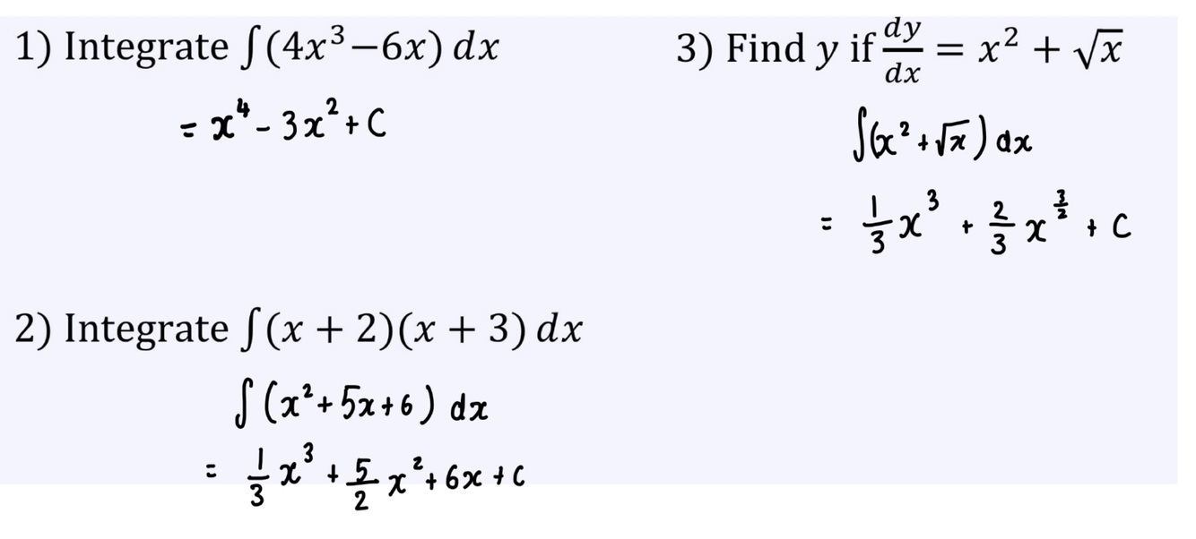
5
Q

What are the steps for integration?

A
  1. Increase the power by 1
  2. Divide the coefficient by this NEW power
  3. If indefinite integration then add + c at the end
How well did you know this?
1
Not at all
2
3
4
5
Perfectly
6
Q

What are the general integration formula’s ?

A
How well did you know this?
1
Not at all
2
3
4
5
Perfectly
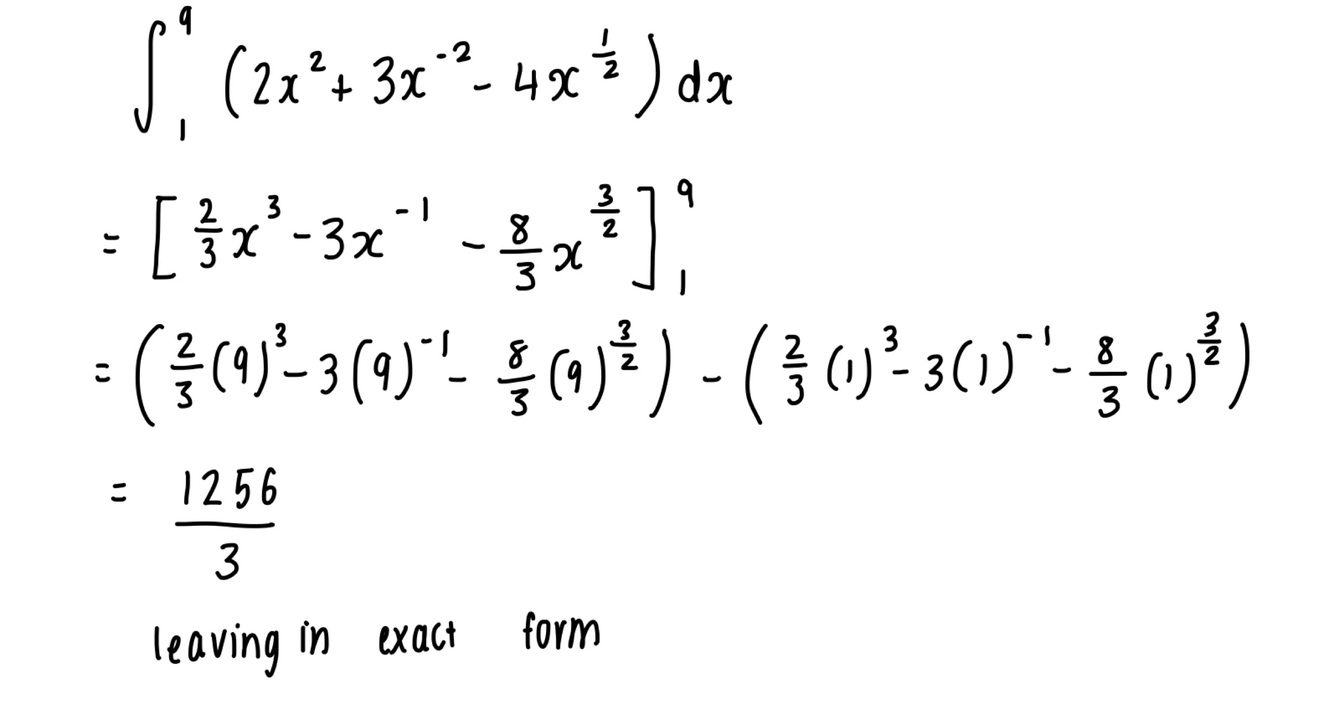
7
Q
A
How well did you know this?
1
Not at all
2
3
4
5
Perfectly
8
Q

What is a way to check integration?

A

If differentiated gives the original answer

How well did you know this?
1
Not at all
2
3
4
5
Perfectly
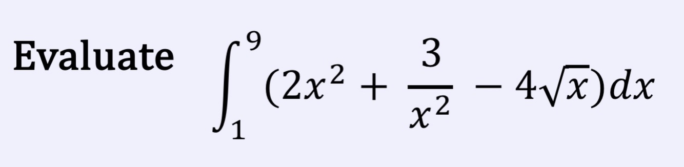
9
Q
A
How well did you know this?
1
Not at all
2
3
4
5
Perfectly
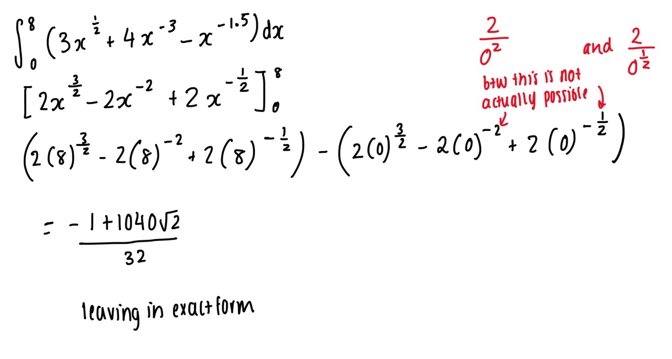
10
Q
A
How well did you know this?
1
Not at all
2
3
4
5
Perfectly
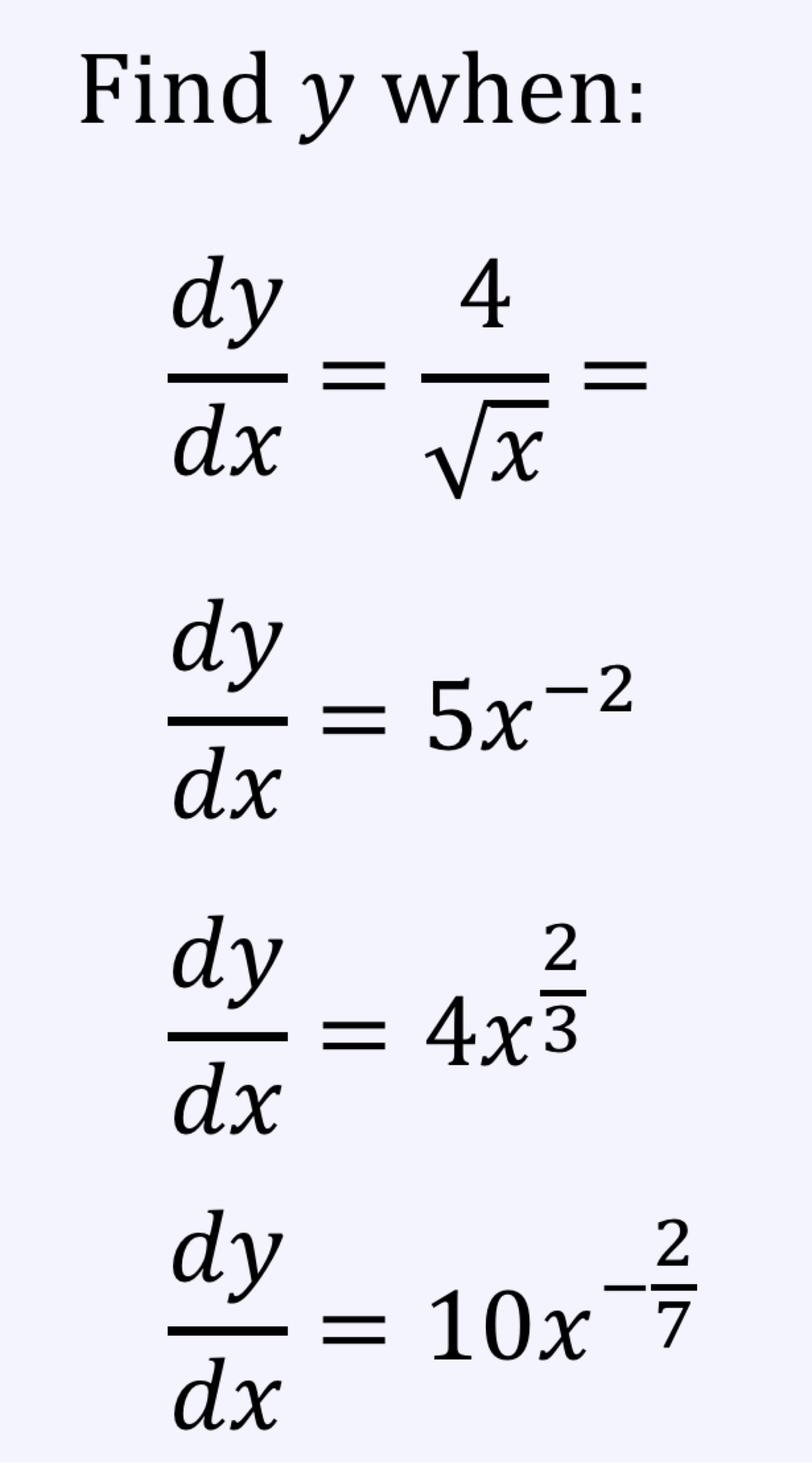
11
Q

General tips to remember when integrating:

A
  1. Always remembering the + c
  2. When expanding/ manipulating the original expression keep it in brackets with the dx
  3. Look at what they want you to integrate with respect to (dx or dn or dp)
How well did you know this?
1
Not at all
2
3
4
5
Perfectly
12
Q
A
How well did you know this?
1
Not at all
2
3
4
5
Perfectly
13
Q

What is the constant of integration?

A

The + c that comes at the end of indefinite integration

How well did you know this?
1
Not at all
2
3
4
5
Perfectly
14
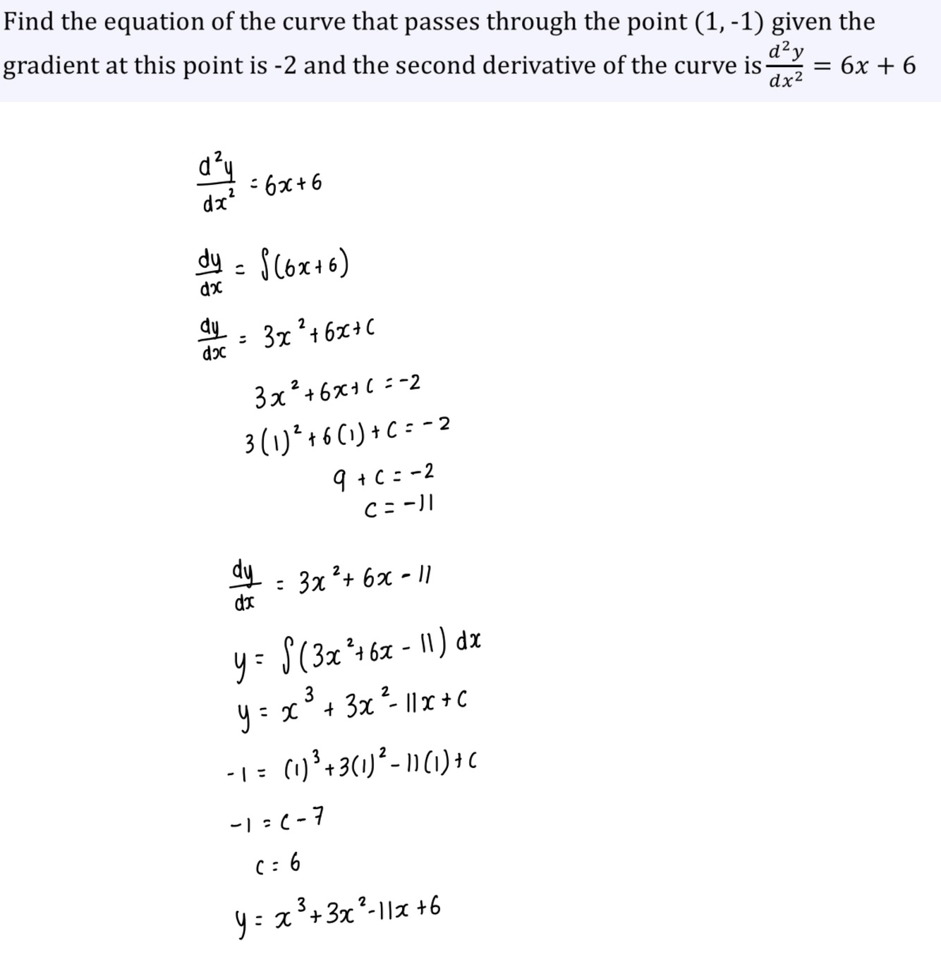
Q

What are the two phrases in which you will be required to find the constant of integration?

A
  1. Given the gradient function to integrate and a point on the curve
  2. Given a second derivative to integrate and a gradient at at given point
How well did you know this?
1
Not at all
2
3
4
5
Perfectly
15
Q
A
How well did you know this?
1
Not at all
2
3
4
5
Perfectly
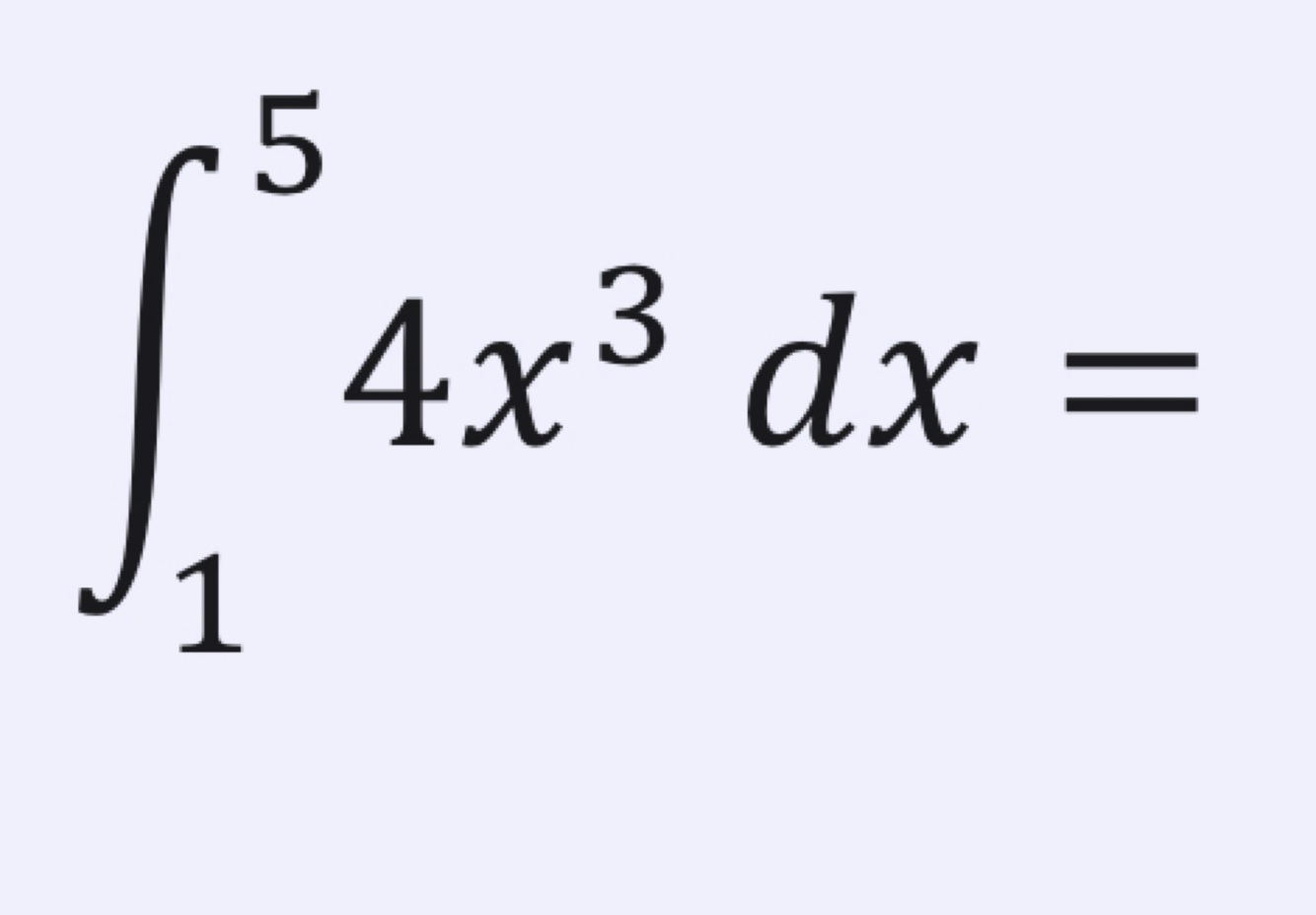
18
Q

What is the notation of definite integrals?

19
Q

What is the difference between a definite integral and an indefinite integral ?

A

A definite integral produces a value.
An indefinite integral produces a function

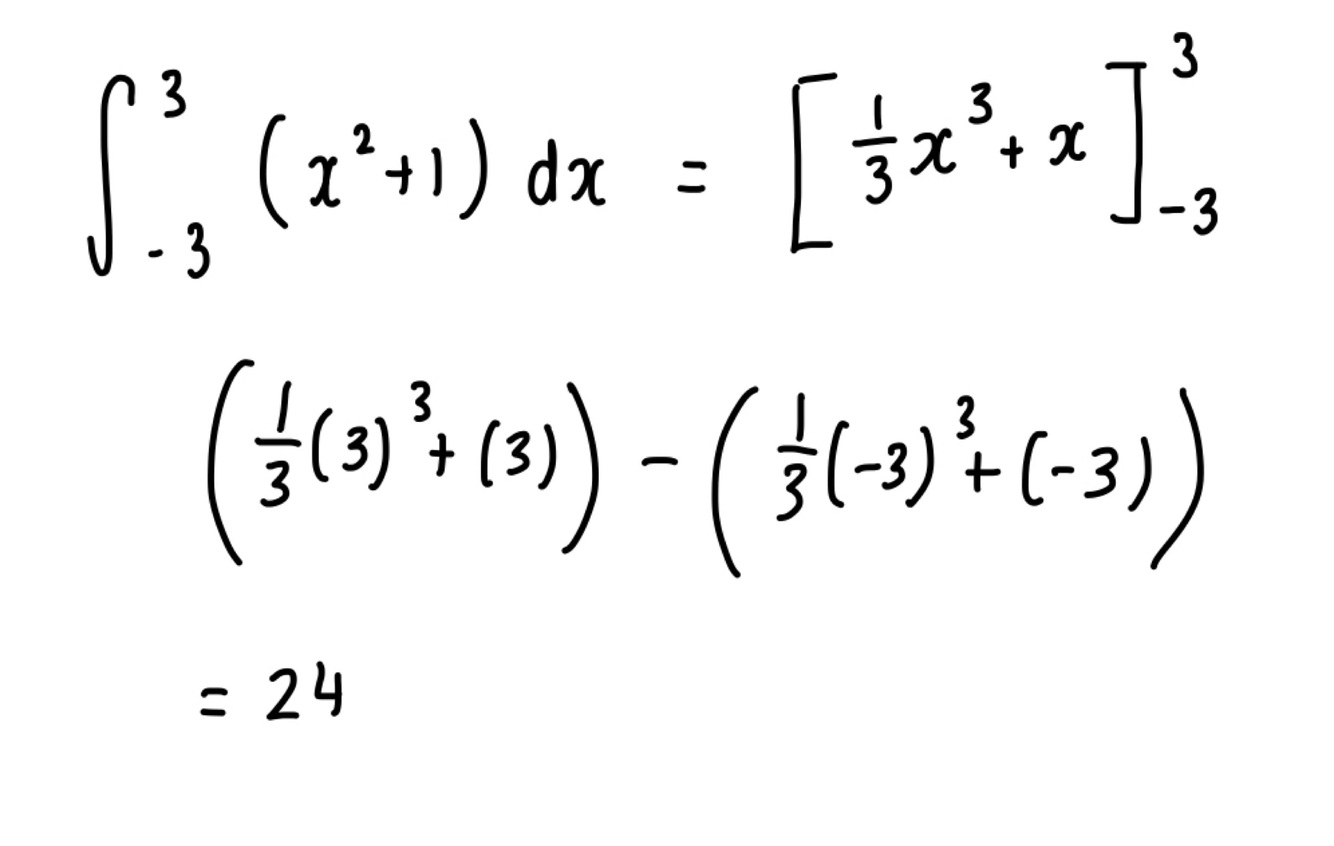
24
Q

What information is needed to find the area under the curve?

A
  1. The equation of the curve
  2. The limits at the the area starts and ends
  3. (Optional ) sketch is preferred
25
26
27
28
29
30
What is the quick method for finding the area between two curves ?
31
32