rsdom Flashcards

(25 cards)

1
Q

How would you allocate the signs

A
  1. Look at the left hand statement, if it is true does the right hand statement also become true if so then (=>)
  2. Look at the right hand statements, if it is true does the left hand statement also become true (<=)
    If both then <=>
How well did you know this?
1
Not at all
2
3
4
5
Perfectly
2
Q

What is some of the mathematical language used in implications?

A
How well did you know this?
1
Not at all
2
3
4
5
Perfectly
3
Q

What is the converse of a therom?

A

The opposite of a theorem

Therom = A implies B
Converse of Theorem = Does B imply A ?

How well did you know this?
1
Not at all
2
3
4
5
Perfectly
4
Q

what are the different types of proof?

A
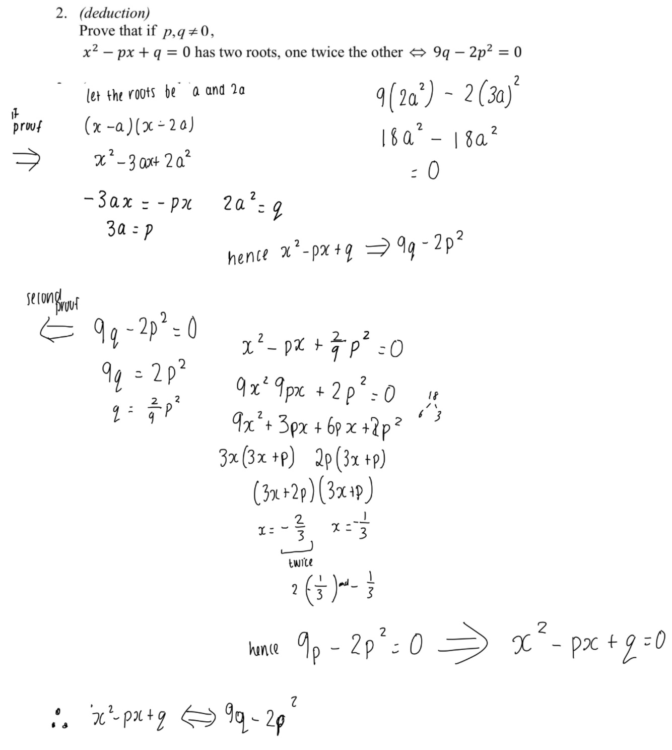
  • deuction: show the logical steps- normally iincolves algebra
  • counter argument : show 1 example that does not follow the conjecture
  • exhaution: trying out all the possibilities
How well did you know this?
1
Not at all
2
3
4
5
Perfectly
5
Q

Proof by deduction

A
How well did you know this?
1
Not at all
2
3
4
5
Perfectly
6
Q

Proof by deduction

A
How well did you know this?
1
Not at all
2
3
4
5
Perfectly
7
Q

Exam Tip

A

ALWAYS write a conclusion at the end (therefore ….repeat the question)

How well did you know this?
1
Not at all
2
3
4
5
Perfectly
8
Q

What are the different types of data?

A
How well did you know this?
1
Not at all
2
3
4
5
Perfectly
9
Q

Which type of data is the following

A
How well did you know this?
1
Not at all
2
3
4
5
Perfectly
10
Q

How do you conduct linear interpolation?

A
How well did you know this?
1
Not at all
2
3
4
5
Perfectly
11
Q

How would you compare or describe a data set?

A

Measures of central tendency Describe the centre of data.
Measures of spread suggest how consistent the data is

How well did you know this?
1
Not at all
2
3
4
5
Perfectly
12
Q

What would you consider an outlier (using IQR)?

A

Anything that is more than 1.5 × IQR

How well did you know this?
1
Not at all
2
3
4
5
Perfectly
13
Q

What would you do when there at gaps between each interval

A
How well did you know this?
1
Not at all
2
3
4
5
Perfectly
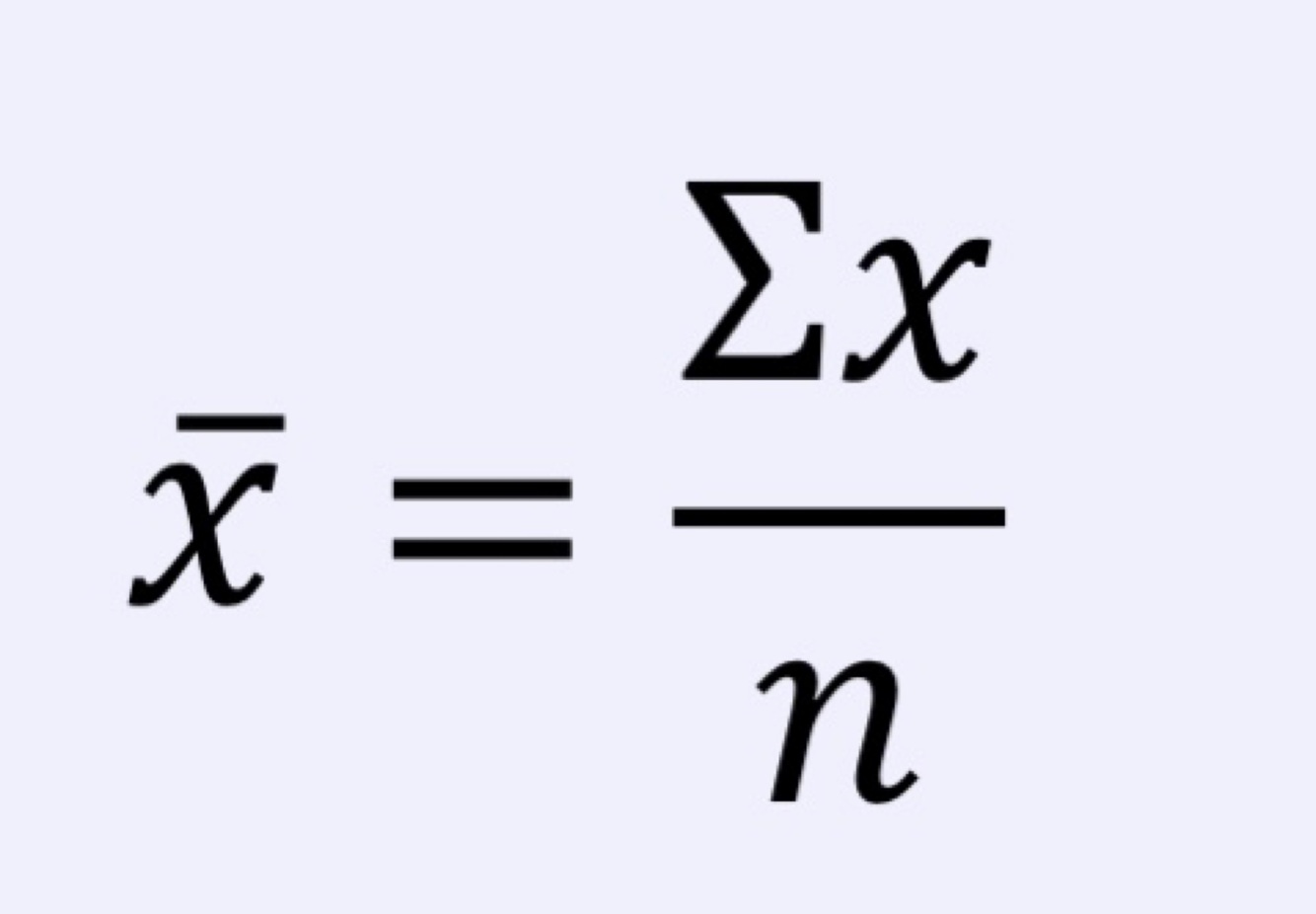
14
Q

What is the notation for mean?

A
How well did you know this?
1
Not at all
2
3
4
5
Perfectly
15
Q

How do you calculate the mean on your calculator?

A
How well did you know this?
1
Not at all
2
3
4
5
Perfectly
16
Q

Plot these values into the calculator to find mode mean and median

A

Because there are two columns, make sure you tell it that the frequency column is list 2

25