integration Flashcards

(23 cards)

1
Q

derivative of tan x

A

sec^2(x)

How well did you know this?
1
Not at all
2
3
4
5
Perfectly
2
Q

derivative of cosec x

A

-cosec x cot x

How well did you know this?
1
Not at all
2
3
4
5
Perfectly
3
Q

derivative of cot x

A

-cosec^2 x

How well did you know this?
1
Not at all
2
3
4
5
Perfectly
4
Q

derivative of sec x

A

sec x tan x

How well did you know this?
1
Not at all
2
3
4
5
Perfectly
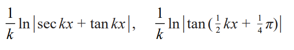
5
Q

integral of tan kx

A
How well did you know this?
1
Not at all
2
3
4
5
Perfectly
6
Q

integral of cot kx

A
How well did you know this?
1
Not at all
2
3
4
5
Perfectly
7
Q

integral of cosec kx

A
How well did you know this?
1
Not at all
2
3
4
5
Perfectly
8
Q

integral of sec kx

A
How well did you know this?
1
Not at all
2
3
4
5
Perfectly
9
Q

integral of sec^2 kx

A
How well did you know this?
1
Not at all
2
3
4
5
Perfectly
10
Q
A
How well did you know this?
1
Not at all
2
3
4
5
Perfectly
11
Q
A
How well did you know this?
1
Not at all
2
3
4
5
Perfectly
12
Q
A
How well did you know this?
1
Not at all
2
3
4
5
Perfectly
13
Q
A
How well did you know this?
1
Not at all
2
3
4
5
Perfectly
14
Q
A
How well did you know this?
1
Not at all
2
3
4
5
Perfectly
15
Q
A

equal 10 pi/2 for positive x and -pi/2 for negative x

How well did you know this?
1
Not at all
2
3
4
5
Perfectly
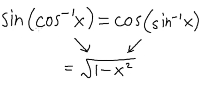
16
Q

ways to rewrite this

20
Q

arctan(1/x)=

21
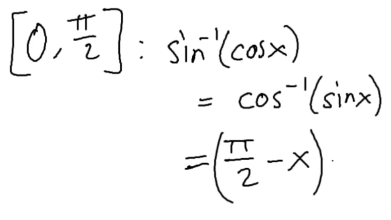
Q

arccos(cos(x)) graph sketch etc……..

22
Q

Wiestrass substitution

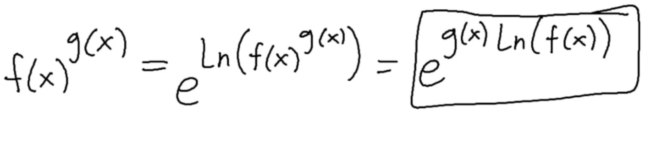
23
Q

Loophole log trick for f(x) ^ g(x)