Math General Flashcards

(119 cards)

1
Q

Mechanics Modelling assumptions

A

Smooth pulley
Light pulley
Inextensible string
Particle
Rod
Smooth / Rough surface

How well did you know this?
1
Not at all
2
3
4
5
Perfectly
2
Q

Mechanics Modelling assumptions- Smooth pulley

A

Tension on either side of the pulley is equal

How well did you know this?
1
Not at all
2
3
4
5
Perfectly
3
Q

Mechanics Modelling assumptions - light string

A

Tension is equal throughout the string

How well did you know this?
1
Not at all
2
3
4
5
Perfectly
4
Q

Mechanics Modelling assumptions - inextensible string

A

Both particles have the same acceleration

How well did you know this?
1
Not at all
2
3
4
5
Perfectly
5
Q

Mechanics Modelling assumptions - particle

A

Ignore air resistance, Ignore rotational effects

How well did you know this?
1
Not at all
2
3
4
5
Perfectly
6
Q

Mechanics Modelling assumptions - Rod

A

Means that it is rigid (doesn’t bend) and has no thickness

How well did you know this?
1
Not at all
2
3
4
5
Perfectly
7
Q

CP1 - 9 - converting vector to Cartesian equation of a plane

A

Dot each direction vector in plane with xyz = 0 to form 2 simultaneous equations and let a=1 and solve them for normal vector xyz

How well did you know this?
1
Not at all
2
3
4
5
Perfectly
8
Q

CP1 - 9 - Finding angle between 2 lines

A

Use dot product on the direction of each of the lines

How well did you know this?
1
Not at all
2
3
4
5
Perfectly
9
Q

CP1 - 9 - Finding angle between line and plane

A

Use dot product on the direction of the line and the normal to the plane. Subtract the angle found from 90.

How well did you know this?
1
Not at all
2
3
4
5
Perfectly
10
Q

CP1 - 9 - Finding angle between 2 planes

A

Use dot product on the direction of the normals of each of the planes

How well did you know this?
1
Not at all
2
3
4
5
Perfectly
11
Q

CP1 - 9 - Finding POI between 2 lines

A

Set the general point on both line equal to a point (x,y,z) and solve for lambda and mu and for x,y,z to find POI

How well did you know this?
1
Not at all
2
3
4
5
Perfectly
12
Q

CP1 - 9 - Finding POI between line and plane

A

Sub in general point on line into Cartesian equation of plane and find value of mu and poi.

How well did you know this?
1
Not at all
2
3
4
5
Perfectly
13
Q

CP1 - 9 - Finding POI between 2 planes

A

Find 2 common points on both planes and find the vector through them and form line equation.

How well did you know this?
1
Not at all
2
3
4
5
Perfectly
14
Q

CP1 - 9 - Finding shortest distance between 2 skew lines

A

Find general point on L1 & L2
Find vector between them
Ensure this is perp to L1 & L2

How well did you know this?
1
Not at all
2
3
4
5
Perfectly
15
Q

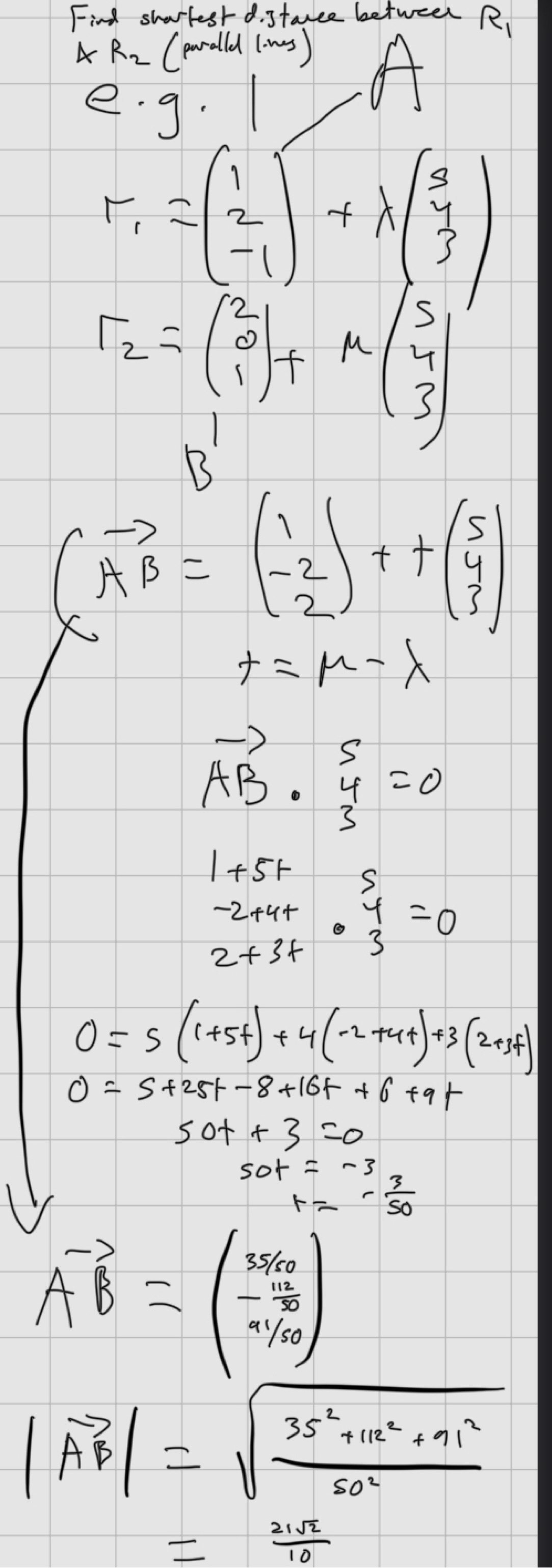
CP1 - 9 - Finding shortest distance between 2 parallel lines

A

Find general point on L1 & L2
Find vector between them - use t = mu - lambda
Ensure this is perp to L1

How well did you know this?
1
Not at all
2
3
4
5
Perfectly
16
Q

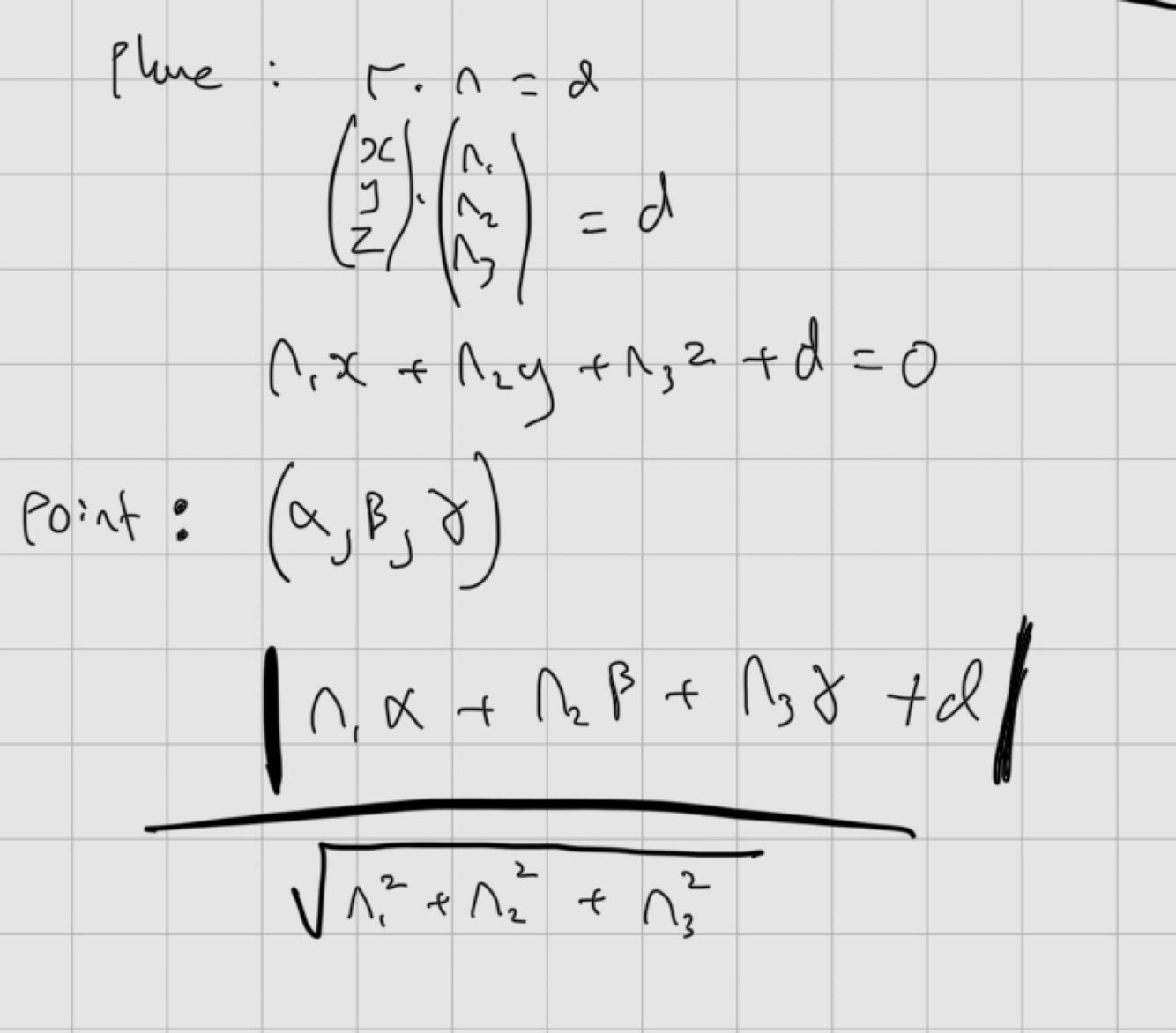
CP1 - 9 - Finding shortest distance between a point and a plane

A
How well did you know this?
1
Not at all
2
3
4
5
Perfectly
17
Q

CP1 - 9 - reflecting a point in a plane

A

Find equation of line through point and closest point on the plane using coordinates of point and Normal to plane.
Put general line eqn in plane eqn to find value for lambda. Double value of lambda and sub into line eqn to find reflected point.

How well did you know this?
1
Not at all
2
3
4
5
Perfectly
18
Q

CP1 - 9 - reflecting a line in a plane

A

Find POI
Reflect a point on the line in the plane
Find the eqn of the line through these 2 points

How well did you know this?
1
Not at all
2
3
4
5
Perfectly
19
Q

Inverse of 2x2 matrix

A
How well did you know this?
1
Not at all
2
3
4
5
Perfectly
20
Q

Determinant and inverse of a 3x3 matrix

A
How well did you know this?
1
Not at all
2
3
4
5
Perfectly
21
Q

Planes meeting at single point

A
How well did you know this?
1
Not at all
2
3
4
5
Perfectly
22
Q

Sheaf

A
How well did you know this?
1
Not at all
2
3
4
5
Perfectly
23
Q

Prism

A

After eliminating variables the 2 equations are inconsistent
Ax+by=c
Ax+by=d

How well did you know this?
1
Not at all
2
3
4
5
Perfectly
24
Q

Parallel and non identical planes

A
How well did you know this?
1
Not at all
2
3
4
5
Perfectly
25
3 same planes
26
Matricies invariant points, line, line of invariant points
Invariant points - Points that don’t move under a transformation Line of Invariant points - line of Points that don’t move under a transformation Invariant ine - any line whereby any point on it is transformed to a point on the same line is called an invariant line
27
General 2x2 anticlockwise rotation matrix
Cos, -sin Sin, Cos
28
3D rotation about xaxis matrix
29
3D rotation about y-axis matrix
30
3D rotation about z-axis matrix
31
Roots of polynomials formulas
32
Sums of n, n^2, n^3
33
Summation induction
34
Divisibility induction
35
Matricies induction
36
Roots of polynomials (alpha + beta + gamma)^2/3
37
DRV - E(x), Var(x)
38
Poisson distribution
39
Binomial mean and variance and poisson approximation requirements
40
Geometric distribution
41
Negative binomial
42
Variance
43
Coding - mean and standard deviation
44
Median and quartile
For non grouped data do n+1 but for grouped data do just n and do linear interpolation
45
Probability set notation
46
For mutually exclusive events P(A or B)
47
Probability set notation
48
For independent events P(A and B)
49
For non mutually exclusive events P(A or B)
50
Conditional probability
51
PMCC hyp test - 1 tailed reject general
52
PMCC hyp test - 1 tailed success general
53
PMCC hyp test - 2 tailed initial general
54
Cumulative frequency curves
Use upper class boundaries with cumulative frequencies
55
Frequency polygon
Use middle of class boundary and regular frequency
56
Histogram
Frequency density = frequency / class width Area = K * Frequency
57
poisson hyp test
58
Poisson as binomial approx hypothesis test
59
Poisson hypothesis test critical region and actual significance level
60
Set notation pure
61
When solving an equation what to do when squaring both sides
Check if solutions work
62
Concave
Second derivative is negative
63
Convex
Second derivative is positive
64
Transformations
65
Unit vector
66
Binomial expansion formula for (1+x)^n
67
Parametric differentiation
68
Parametric integration
69
Newton ralphson method formula
70
Iteration - numerical method
71
Iteration - convergence condition
72
Area enclosed by a polar curve
73
Polar differentiation
74
% of data within 1/2/3 standard deviations from the mean of normal distribution
68/95/99.7
75
Normal distribution - sample mean
76
Central limit theorem
77
Normal distribution - sample mean
78
Goodness of fit chi squared formula
Combine sections with a contribution less than 5
79
Degrees of freedom - chi squared
80
Chi squared - contingency table
81
Elastic strings and springs
82
Maclaurin series for e^x
83
Maclaurin series for ln (1+x)
converges for -1
84
Maclaurin series for sin(x)
85
Maclaurin series for cos(x)
86
derivative of tan x
sec^2(x)
87
derivative of cosec x
-cosec x cot x
88
derivative of cot x
-cosec^2 x
89
derivative of sec x
sec x tan x
90
integral of tan kx
91
integral of cot kx
92
integral of cosec kx
93
integral of sec kx
94
integral of sec^2 kx
95
96
97
98
derivative of sinhx, coshx, tanhx
99
derivative of arcsinhx
100
derivative of arcoshx
101
derivative of arctanhx
102
integral of tanhx
103
104
105
derivative of sech x
−sech x tanh x
106
derivative of coth x
107
derivative of cosech x
-cosech(x)cot(x)
108
109
hyperbolic trig identities pythag trig equivalent
110
hyperbolic double angle trig identities
111
hyperbolic compound angle trig identities
112
Inverse hyperbolic functions graphs
113
Mclaurin series
114
Nth roots of a complex number z=re^itheta
115
General form for roots of unity
116
For a probability generating function how do you find E(x), Var(x)
117
If X and Y are two independent random variables with probability generating function Gx(t) and Gy(t), the probability generating function of Z = X + Y is given by:
118
If the discrete random variable X has probability generating function Gx(t), then the probability generating function of the discrete random variable Y = aX + b, where a and b are positive integers, is given by
119
quality of tests - size and power, type 1, type 2