What can you know about the polynomial pn(x)?
It is of order n. It has n coefficients and the highest power of x is n-1
What does m=n+1 mean?
m is the number of data points
n is the order of an aproximation polynomial
n+1 is the number of parameters that need to be found to define the approximation.
How do you produce a vandermole matrix to approximate a polynomial?
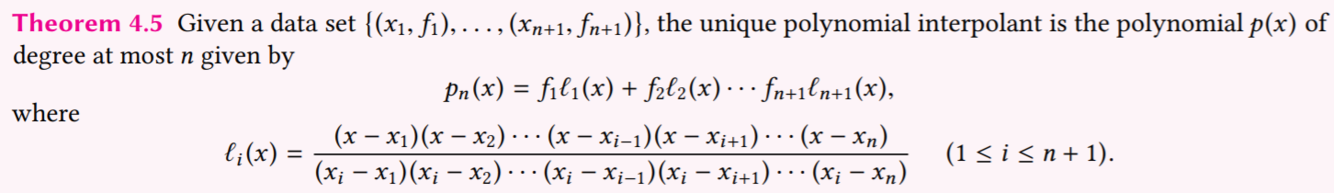
What is the expression for a lagrange interpolent ,p(x), in terms of lagrange polynomials?
What is the problem with using Vandermole matrixes to find p(x) with large number of nodes?
The determinant will get closer and closer to 0 and the finite power of computers could mistake it for 0.
If you have m data points, what is the order of p(x) for hermite interpolation?
n=2m-1
n=order of p(x)
What is Hermite interpolation?
Interpoltion where the interpolent has equal values and gradients at the nodes.
If you wish to perform hermite interpolation with 2 nodes, how many coefficients does the aproximating equation need and what is the matrix used?

If you produce a gram matrix and the determinant is 0 what does that mean for the solution?
There is no unique solution.
If you had three data points and wanted to find an expression for L1(x) what would it be?
