How do you approximate an integral ?
Find v values by integrating xj-1 between the given interval
Produce a vadermole matrix with nodes, u.
Use VT and V to find W values.
Î(f)=w1f(u1)+w2f(u2)+w3f(u3)….

What is a canonical interval?
Something like [0,1] or [-1,1]. Often is is easier to map an interval to one of these and perform the integration between these limits.
They are denoted by E
If you have a set of Legendre or Chebyshev polynomials, how do you find appropriate nodes for an aproximation?
The roots of Pn
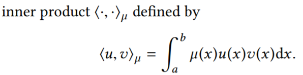
What is an inner product?

What are the rules govening polynomials used in Gauss aproximation?
P0(x)=1
The degree of Pi(x)=i
The roots of Pi(x) are real and distinct
The polynomials are othogona with respect to the inner product. (the inner product of any 2 is 0)
What is the degree of exactness of n point Gauss rules?
d=2n-1
What are quadrature rules for?
Approximating the values of integrals.
What is the general form of a quadature rule?
The w numbers are called weights and the points, x, are called nodes

What is the algorthm to find produce a Lagrange interpolatory quadrature rule?

Suppose you are given Legendre polynomials and are asked to construct an N point gauss-legrandre rule, what do you do?
The roots of the polynomial of degree N are what you will used for nodes.
Proced in the normal way with a vandermole matrix and weights.
If you have produced an interpolatory quadrature rule, how do you map it to a cannonical interval?
Produce the map t(x)
Change the nodes with the map
The new weights, w*
w*=dt/dx w
What are Gauss quadrature rules for?
They are for aproximating integrals of the form
∫μ(x)f(x) dx between a and b
μ(x) is a weight function