Intro Flashcards

(25 cards)

1
Q

WIA travelling wave?

A

A disturbance that travels through space with a well defined speed.
Transfers energy but not material or substance.

How well did you know this?
1
Not at all
2
3
4
5
Perfectly
2
Q

WIA tranverse wave?

A

Displacement/energy propagation perpendicular to direction of travel

How well did you know this?
1
Not at all
2
3
4
5
Perfectly
3
Q

WIA longitudinal wave?

A

Displacement/energy propagation parallel to direction of travel

How well did you know this?
1
Not at all
2
3
4
5
Perfectly
4
Q

What is the 1D wave equation?

A
How well did you know this?
1
Not at all
2
3
4
5
Perfectly
5
Q

What is the general solution of the wave equation?

A
How well did you know this?
1
Not at all
2
3
4
5
Perfectly
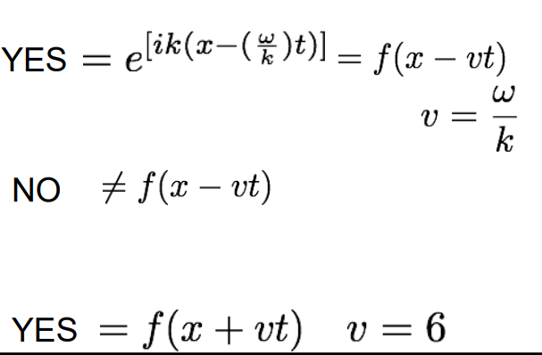
6
Q

Are the following funtions solutions of the 1D wave equation

A
How well did you know this?
1
Not at all
2
3
4
5
Perfectly
7
Q

What is dispersion

A

The variation of wavespeed with wavelength. Longer waves appear to travel faster than shorter ones. This causes refraction.

How well did you know this?
1
Not at all
2
3
4
5
Perfectly
8
Q

What is a consequence of dispersion?

A

The shape of a non-sinusoidal wave changes as it propagates. The shape of the wave is not conserved.

How well did you know this?
1
Not at all
2
3
4
5
Perfectly
9
Q

What is Phase velocity?

A

The velocity of a carrier wave. The velocity associated with fixed value of phase.

How well did you know this?
1
Not at all
2
3
4
5
Perfectly
10
Q

What is group velocity

A

The speed with which the envelope advances. Energy is carried by groups of waves, therefore usually travel at group velocity.

How well did you know this?
1
Not at all
2
3
4
5
Perfectly
11
Q

WI Equation of Phase velocity?

A
How well did you know this?
1
Not at all
2
3
4
5
Perfectly
12
Q

What is the group velocity (eq)(of an envelope)?

A
How well did you know this?
1
Not at all
2
3
4
5
Perfectly
13
Q
A
How well did you know this?
1
Not at all
2
3
4
5
Perfectly
14
Q

What is the phase velocity vp and group velocity vg of a NON-DISPERSIVE wave?

A
How well did you know this?
1
Not at all
2
3
4
5
Perfectly
15
Q
A
How well did you know this?
1
Not at all
2
3
4
5
Perfectly
18
Q

What could a wavefront in 3D be referred to as/What is it technically?

A

At any instant a wavefront in 3D is a surface of constant phase.

19
Q

State equation of a plane wave

20
Q

What is the 3D wave equation (generalise 1D to 3D)

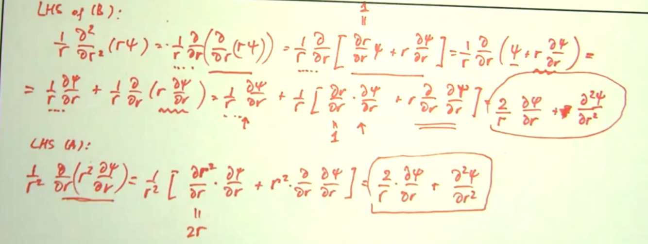
22
Q

What is the general solution? (Transform symmetric wave eq to a 1 dimensional wave eq and solve)

23
Q

What is the General solution of a 3D symmetric wave? And what do the -/+ signs signify?

24
Q

T/F? The amplitude of any spherical wave decreases as 1/r? Why?

25
What is the eq of a harmonic spherical wave?