Optics Flashcards

(66 cards)

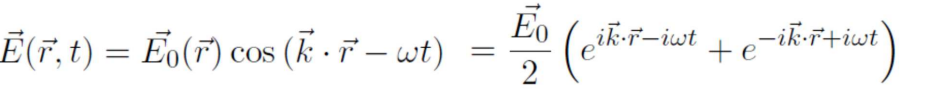
1
Q

Rewrite the LHS in form of the RHS using cos(theta) identity.
What does k vector represent?

A

Cos(a) = e** i(a) + e**-i(a) /2

K represents the wave number vector.

How well did you know this?
1
Not at all
2
3
4
5
Perfectly
2
Q

Use the following equations a vector identity to derive 2 wave equations for light (use eq for both Electric and Magnetic fields).

A
How well did you know this?
1
Not at all
2
3
4
5
Perfectly
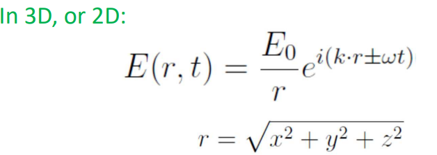
3
Q

Imporant note: To go between Electric or Magnetic waves from the generic wave equations, simply replace the amplitude with E0 or B0.
Try this with an spherical electric field wave.

A
How well did you know this?
1
Not at all
2
3
4
5
Perfectly
4
Q

What changes when light moves from one medium to another?
What property of light stays constant moving between mediums?

A

Light changes SPEED moving between mediums. Wavelength is dependent on medium.

FREQUENCY is INDEPENDENT of medium.

How well did you know this?
1
Not at all
2
3
4
5
Perfectly
5
Q

What is the equation of wavespeed for different mediums (use ‘ to represent medium dependent variables).

A
How well did you know this?
1
Not at all
2
3
4
5
Perfectly
6
Q

What is the eq of the index of refraction of a material? (a) in terms of c, (b) in terms of wavelength.
What does the IOR allow us to do?

A

IOR allows us to influence the path that light takes.

How well did you know this?
1
Not at all
2
3
4
5
Perfectly
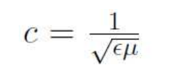
7
Q

Eq for speed of light in terms of permittivity and permeability

A

c = 1/sqrt(E*mu)

How well did you know this?
1
Not at all
2
3
4
5
Perfectly
8
Q

State Huygen’s Principle

A

Each point of a wavefront is a source of a spherical wave. The envelope of all spherical waves is the NEW wavefront.

How well did you know this?
1
Not at all
2
3
4
5
Perfectly
9
Q

Huygen’s principle in action

A

Can derive Snell’s Law using Huygens’ Principle.

How well did you know this?
1
Not at all
2
3
4
5
Perfectly
10
Q

State the law of reflection

A

Theta 1 = Theta 2

How well did you know this?
1
Not at all
2
3
4
5
Perfectly
11
Q

State Snell’s Refraction law

A
How well did you know this?
1
Not at all
2
3
4
5
Perfectly
12
Q

What is the critical angle equation?
Hint:
- Use Snell’s Law

  • Let theta 2 —–> 90 degrees, call theta1 thetacritical, rearrange.
A
How well did you know this?
1
Not at all
2
3
4
5
Perfectly
13
Q

What happens when the angle of incidence is less than the critical angle?

A

When anlgle of incidence less than theta_critcal, both reflection and refraction occur at the boundary.

How well did you know this?
1
Not at all
2
3
4
5
Perfectly
14
Q

What happens when the angle of incidence = the critical angle?

A

When angle of incidence = Critical angle, angle of refraction = 90 degrees.
Refracted ray becomes PARALLEL to the surface

How well did you know this?
1
Not at all
2
3
4
5
Perfectly
15
Q

What happens when the angle of incidence is greater than the critical angle?

A

When the angle of incidence is greater than the critical angle, NO light is refracted, ALL rays are reflected internally- TOTAL INTERNAL REFLECTION OCCURS.

How well did you know this?
1
Not at all
2
3
4
5
Perfectly
16
Q
A

Don’t forget the incident ray refracts UPON entering the optical fibre (look closely).

How well did you know this?
1
Not at all
2
3
4
5
Perfectly
17
Q

The refractive index is not constant. What property of light does the refractice index vary for?

A

The refractive index varies with waves of different wavelengths.

How well did you know this?
1
Not at all
2
3
4
5
Perfectly
18
Q

What is the relationship between the refractive index of a material and wavelength? What does this cause and what is it used for?

A

Relationship n ~ 1/Wavelength – Can get this by looking at index of refraction eq. in terms of wavelength.
This causes dispersion of light/seperation of light of different wavelengths- called chromatic abberations.
Application: seperating wavelengths, light prissm.

How well did you know this?
1
Not at all
2
3
4
5
Perfectly
19
Q

What are Chromatic abberations?
What is its cause?

A

The dispersion of light of different wavelengths.
Due to the refractive index varying for wavelength, resulting in differing angles of refraction(hence causing dispersion).

How well did you know this?
1
Not at all
2
3
4
5
Perfectly
20
Q

State Fermat’s Principle/Principle of least time

A

Light always take the fastest route. E.g. the path which minimises the total time for the distance.

How well did you know this?
1
Not at all
2
3
4
5
Perfectly
21
Q

State the optical path length.
State the time taken for light to travel a distance d.

A

n is the refractive index of the medium.

How well did you know this?
1
Not at all
2
3
4
5
Perfectly
22
Q

OPL, n=1 is 1 x d
OPL, n=2 is 2 x d

A

Optical path length is how far light thinks it has travelled, when n = 2 the total number of wavelengths doubles* (increases to 8 from 4), so from light’s perspective it has moved double the distance.
* doubles- rearrange eq of refractive index- n~1/wavelength - so wavelength halves in medium, lambda_2 = lambda_0 / 2 in the example.

How well did you know this?
1
Not at all
2
3
4
5
Perfectly
23
Q

Using Fermat’s Principle, state the optical path length, L, for light travelling through an inhomogeneous medium. Write as summation and an integral.

Hint:
-Find ti
- Sum across all pathlengths
- Take integral

A

dL = 0 as L is always at a minimum

How well did you know this?
1
Not at all
2
3
4
5
Perfectly
24
Q

Derivation of Snell’s Law using Fermat’s therorem

A
How well did you know this?
1
Not at all
2
3
4
5
Perfectly
25
In a homogeneous medium (n= const.) what is the fastest path?
The fastest path in homogeneous medium is a straight line.
26
What happens if there are several paths with the same length?
Multiple paths: The light takes all paths.
27
What are the two consequences of Fermat's principle?
28
What is the equation for Magnification in terms of s, s' and h, h'
M is ratio between s', s and h', h M = - s'/s = h'/h
29
What is the condtition for a real image?
- Rays CONVERGE after optical system to form an image. - Real image is ALWAYS inverted
30
Where do REAL images form for Lenses, Mirrors
Real LENS images form BEHIND lenses (s'>0) Real MIRROR images form in FRONT of mirrors(s' is -ve)
31
What are the conditions of a Virtual Image?
- Rays EMERGE DIVERGENT from the optical system. - Light does not pass through the image - Virtual image is upright.
32
Where do virtual images form for Lenses, Mirrors?
Virtual images form in FRONT of lenses (s'<0) Virtual Images form BEHIND mirrors (s'<0)
33
What is the Optical axis? What happens to a ray passing along an optical axis?
Orthogonal, passes through centre of optical element. Perpendicular to the surface/boundary of a material. Ray travelling along optical axis will be unchanged.
34
What range does the paraxial approximation hold?
- Holds over small values of theta.
35
ANS: n = 1.42 We can see from the figures that the angle of incidence is 45 degrees. For a mirror we want all light to be reflected and none to be refracted. Look at the point at which the light is reflected back- sin(crit) = 1/n Critical angle (a) ~ 45.58, this is greater than the angle of incidence so light would be refract, therefore would NOT be used as a perfect mirror. Critical angle (b) is less than the angle of incidence (Angle of In. > Crit. Angle) therefore all light would be Totally internally reflected inside the prism (points where both right angles are) and come back out, hence would make a perfect mirror.
36
When looking at a distance, d, from a planar mirror, what image is produced?
Difficult to see on image, but rays are diverging as alpha increases (as alpha increases, ray reflects of planar mirror a greater angle, rays diverge)- if you draw lines of rays going backwards, they converge at a point behind the mirror.
37
How would you describe the image formed by a parabolic mirror, why?
Parabolic Mirrors form Perfect images as all rays converge at one point, the focal point.
38
What conditions are required for both parabolic and spherical mirrors to form perfect/near perfect images/ When is the focus perfect?
Parabolic produces Perfect images, with perfect focus for PARALLEL incoming beams (1). Spherical produce near perfect images with near perfect focus when incoming rays are parallel(1) and when the rays are close to the optical axis(2).
39
How would you describe the image formed by a Spherical Mirror? Why? What is meant by 'caustic'?
Bad image produced because not all rays converge. 'Caustic' - no perfect focus- spherical mirrors are caustic as rays do not converge perfectly.
40
What are the negatives of Parabolic and Sperical mirrors
Parabolic- Expensive to make Spherical- 'Caustic'- rays do not perfectly converge, must use paraxial approximation.
41
For spherical elements what is used to restrict the rays to the optical axis?
Paraxial approximation is used to restrict rays close to the optical axis in spherical elements.
42
Sign convention: + is natural path of light for convex and concave mirrors. For (MIRRORS, LENSES ARE OPPOSITE) convex, r>0 as r is in direction of natural path (away from centre of sphere upon reflection), for concave r<0, as r is in opposite direction to natural path (towards centre upon reflection).
+ is the 'natural path' of the light for concave and convex MIRRORS and LENSES.
43
Use imaging equation
44
45
State Imagine equation in terms of s, s', r and f.
f is the focal point, r is the radius, s is the object's distance from mirror, s' is the image's distance from the mirror.
46
Ray tracing Example: Sketch the Focal Ray, Central Ray, and Parallel Ray for a spherical concave mirror.
47
State Magnification eq of Concave mirror
If the image is real, Magnification is -ve, if virtual, image is +ve. - h' is -ve already so - sign is not needed.
48
Sign convention for Transparent elements/LENSES
Distances along natural path of light are +ve
49
Using this diagram, derive the imaging equations for spherical surfaces(not spherical mirror)
50
51
What is the Magnification of a Spherical Surface/Lens? DIFFERENT TO THIN LENS AND MIRRORS Hint: Use Snell's Law and small angle approx. for sin(theta) Hint: For small angles sin(theta) = tan(theta) = theta
52
State imagine eq. for spherical surfaces/lenses
53
54
Where are Parallel rays focused at spherical surfaces? What happens to rays out of focus/not parallel?
55
What do you do with foci for two curved surfaces making a lens?
56
Lensmaker's Derivation- Uses imagine eq. for spherical surfaces
57
Central ray is unchanged as it passes through the optical centre. Light passing through the optical centre is not refracted. This is because lense surfaces are approximately parallel to each other (like a glass slab), causing lateral displacement of the ray rather than deviation. This lateral displacement is very small, and for thin lenses can be neglected.
Negative focal point, virtual image forms in front of lens(opposite to natural travel direction of light).
58
59
What is the magnification of a thin lens? Hint: Final result same as a spherical lens.
60
What is the Principle focus/focus point?
The point at which rays being relected of mirror elements or passing through a lens converge. For parabolic/spherical mirrors it is the point at which incoming rays parallel to the optical axis converge upon being reflected. Spherical- incoming parallel rays are restricted to being close to the optical axis.
61
What is the Focal Point of a spherical Mirror/ Where does the image form for a virtual(convex) or real image(concave)?
The focal point of a spherical mirror is f= R/2
62
Ray tracing Concave Mirror- s < f
Ignore text box for s (or O) this image
63
How do you find magnification for a system of lenses?
Multiply each Magnification M = m1*m2*m3...
64
Ray trace for a diverging lens- use image as starting point
- Rays that travel towards focal point are refracted to travel parallel to optical axis. - Parallel rays to optical axis refract AWAY from optical axis. Its extension passes through the focal point on the object side of lens(in front of lens). - Ray that travels through the centre of lens passes through unchanged.
65
What is meant by a positive lens? What is meant by a negative lens?
Positive - f > 0 Negative - f < 0
66
In case of an apeture, in ray tracing another ray can be drawn to find where an image is produced. Ray 1: Incident ray parallel to optical axis is refracted through an optical axis through focal point F. Ray 2: Incident ray passing through F will be refracted parallel(is blocked). Ray 3: Ray passing through centre of lens is not effected.
By placing the aperture in front of the lens, only ray 1 can pass through the aperture, rays 2 and 3 are blocked. However, rays 2 and 3 can still be used to find the position of the image even though they are blocked and do not physically pass through the lens. Once the location of the image is found, the image forms by the intersection of any other rays passing through the aperture (e.g. ray 4).