A constante de acidez Ka é utilizada para mensurar__________.
A força de um Ácido!
A constante de basicidade Kb é utilizada mensurar_________.
A força de uma base!
Na seguinte reação:
Como definimos a constante Ka?


Quanto maior o Ka de uma reação química____________(maior/menor) será força do ácido.
Maior!!
(Quanto maior for Ka maior será o grau de ionização do ácido)

Quanto menor o Ka de uma reação química___________(maior/menor) será força do ácido.
Menor!!
(Quanto menor for Ka menor será o grau de ionização do ácido)

Indique o ácido mais forte:

Ácido Sulfúrico!
H2S04
Quanto maior o Ka maior a força do ácido

Na imagem abaixo o hidrácidos sofrem__________(ionização/dissociação) e as bases hidroxiladas sofrem____________(ionização/dis sociação).

Ionização
Dissociação
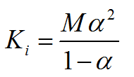
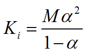
Qual a equação que representa a Lei da Diluição de Ostwald?

Defina pKa:
pKa = - log Ka
Defina pKb:
pKb = - log Kb
Quanto maior o pka de um meio mais ____________(forte/fraco) será este quanto à sua força ácida, pois___________(menor/maior) será o Ka da reação.
Fraco
Menor
Quanto menor o pkb de um meio mais ___________(forte/fraco) será este quanto à sua força básica, pois__________(menor/maior) será o Kb da reação.
Forte
Maior
Qual o Ácido mais forte da Tabela a seguir?

Composto A
Menor pKa => maior Ka
Qual Base da tabela é a mais fraca?

Anilina!
Aniline, pois quanto menor Kb => mais fraca é a base.
Defina par ácido-base conjugado:
Numa reação ácido-base de Bronsted-Lowry, a base original se torna um ácido na reação reversa, e o ácido original se torna a basa na reação reversa. Cada reagente em conjunto com o produto que ele forma é chamado par conjugado, a base original se torna o ácido conjugado e o ácido original se torna a base conjugada.

Fonte: Chemistry: A Molecular Approach, 1st Ed. Nivaldo Tro.
Na reação…
Indique a base conjugada do ácido acético:

CH3COOH ⇒ Ácido
CH3COO– ⇒ Base conjugada