Quando usar Kp?
Analisar rendimento de reações gasosas!
Quais estados físicos entram no cálculo do Kp?
Apenas o estado gasoso!
Fator do meio capaz de alterar Kp:
Temperatura!
Qual a relação Kp e Kc?

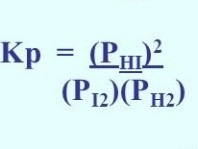
Como calcular Kp?
Usamos pressões parciais ao invés da concentração dos reagentes e produtos (LEI DE DALTON)

Como calcular pressão parcial de um gás?
Multiplicação da fração molar do gás pela pressão total do sistema.

A somatória das pressões parciais do sistema resulta na:
Pressão total ou Pressão do sistema.
No gráfico, indique quem são os produtos e reagente:

Reagente – Hidrogênio gasoso (H2) e Iodo gasoso (I2)
Produto – Iodeto de Hidrogênio (HI)

Sobre o gráfico, defina a equação da constante Kp:


Para o equilíbrio do gráfico calcule Kp:

