L1 | Present Values Flashcards

(27 cards)

1
Q

What is the net present value (NPV)?

A

the present value of sum of all future cash flows minus the required investment

How well did you know this?
1
Not at all
2
3
4
5
Perfectly
2
Q

How long is a perpetuity for?

A

forever

How well did you know this?
1
Not at all
2
3
4
5
Perfectly
3
Q

How long is an annuity for?

A

a specified number of years

How well did you know this?
1
Not at all
2
3
4
5
Perfectly
4
Q

How do we calculate the IRR?

A

the IR value when NPV = 0

How well did you know this?
1
Not at all
2
3
4
5
Perfectly
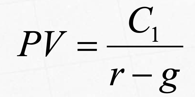
5
Q

What is the present value formula for a perpetuity?

A
How well did you know this?
1
Not at all
2
3
4
5
Perfectly
6
Q

What is the present value formula for a perpetuity when the first payment is made in year t+1?

A
How well did you know this?
1
Not at all
2
3
4
5
Perfectly
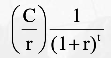
7
Q

What is the present value formula for an annuity?

A
How well did you know this?
1
Not at all
2
3
4
5
Perfectly
8
Q

What is the present value formula for a perpetuity with growth?

A
How well did you know this?
1
Not at all
2
3
4
5
Perfectly
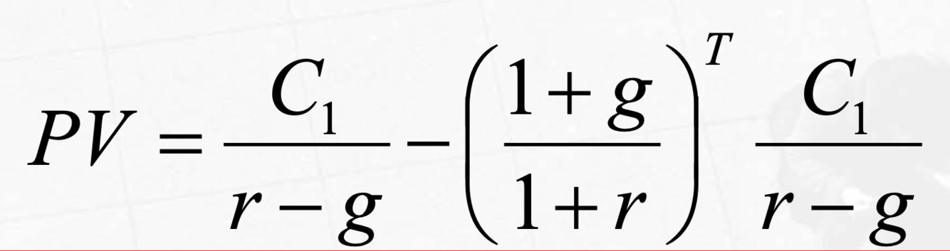
9
Q

What is the present value formula for an annuity with growth?

A
How well did you know this?
1
Not at all
2
3
4
5
Perfectly
10
Q

What is meant by the budget constraint?

A

Level of consumption in second period is a function of the amount of income spent in first period

How well did you know this?
1
Not at all
2
3
4
5
Perfectly
11
Q

What is the budget constraint?

the inequality formula

A
c1 = consumption in second period; M1 = income at start of second period; M0 = income at start of second period; C0 = consumption level in first period
How well did you know this?
1
Not at all
2
3
4
5
Perfectly
12
Q

Level of consumption in the second period is a function of…

A

amount of income spent in first period

How well did you know this?
1
Not at all
2
3
4
5
Perfectly
13
Q

When does an individual lend?

A

if C0 < M0 and C1 > M1

How well did you know this?
1
Not at all
2
3
4
5
Perfectly
14
Q

When does an individual borrow?

A

if C0 > M0 and C1 < M1

How well did you know this?
1
Not at all
2
3
4
5
Perfectly
15
Q

Optimal Consumptionb

If IR increases, what happens to the CML and what is the result to the individual?

A
  • slope increases
  • CML pivots around the endowment point
  • beneficial to consume less today because what is left will be inflated more by r
  • so consume more next period
How well did you know this?
1
Not at all
2
3
4
5
Perfectly
16
Q

How are consumer preferences for current and future consumption represented?

A

utility function (C0,C1) and associated set of indifference curves

17
Q

What does the slope of the indifference curves represent?

A

Marginal Rate of Substitution (MRS) = rate at which consumers will trade of consumption today for consumption tomorrow

18
Q

Where does an individual’s consumption package lie on the graph?

A

where the slope of the highest indifference curve is tangential to the CML

19
Q

Optimal Investment

What is meant by the production possibility frontier?

A

a curve showing maximum output possibilities of consumption good in 2 periods

20
Q

What is meant by the slope of the Production Possibility Frontier?

A

Marginal Rate of Transformation (MRT) = rate at which it is technically feasible for one unit of C0 to be transformed into units of C1

21
Q

What is the solution to optimal investment?

A

where CML is tangential to PPF

Where MRT = (1+r)

22
Q

How do we combine optimal investment and optimal consumption?

A
  • Optimal consumption requires MRS = 1+r
  • Optimal investment requries MRT = 1+r
  • Optimal investment and consumption when MRS=MRT
23
Q

In the absense of capital markets, the condition for optimal consumption/investement is given by…

24
Q

In the absence of capital markets, if MRT < (1+r) and MRS < (1+r), how can utility be increased?

A

if capital markets introduced by lending and increasing next period’s consumption

25
In the absence of capital markets, if MRT > (1+r) and MRS > (1+r), how can utility be increased?
if capital markets introduced by borrwing and increasing the present period's consumption
26
What is the Fisher Separation Theorem?
a firm's choice of investment is separate from its owners' investment preferences and therefore the firm should only be motivated to maximize profits.
27
What is the power of the Fisher separation result?
even if entrepreneur and consumer are different: all shareholders and managers agree on the optimal investment policy unanimity with respect to the firm's objectives.