L2 | Calculating Present Values Flashcards

(26 cards)

1
Q

What is APR?

A

value-equivalent interest rate paid annually at the end of the year only.

How well did you know this?
1
Not at all
2
3
4
5
Perfectly
2
Q

What is the formula for the stated/quoted interest rate?

A

per period interest rate x number of period per year

How well did you know this?
1
Not at all
2
3
4
5
Perfectly
3
Q

What is continuous compounding?

A

the mathematical limit that compound interest can reach if it’s calculated and reinvested into an account’s balance over a theoretically infinite number of periods.

How well did you know this?
1
Not at all
2
3
4
5
Perfectly
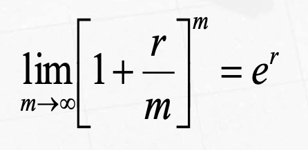
4
Q

What is the formula justifying continuous compounding?

A
An investment of £1 at a rate of r per annum compounded m times a year amounts by the end of the year to [1+(r/m)]^m

whenthemapproachesinfinity,interestrategets continuously compounded and [1+(r/m)]m approaches er

How well did you know this?
1
Not at all
2
3
4
5
Perfectly
5
Q

What are pensions?

A

deferred salary

How well did you know this?
1
Not at all
2
3
4
5
Perfectly
6
Q

What do unfunded pension schemes rely on?

A

Social contract that current workers pay pensions of retired workers, and anticipate similar future arrangement

How well did you know this?
1
Not at all
2
3
4
5
Perfectly
7
Q

Who pays funds into funded private sector pension schemes?

A

employers or employees

How well did you know this?
1
Not at all
2
3
4
5
Perfectly
8
Q

How do private sector pension schemes become funded?

A

fund accumulates over time

How well did you know this?
1
Not at all
2
3
4
5
Perfectly
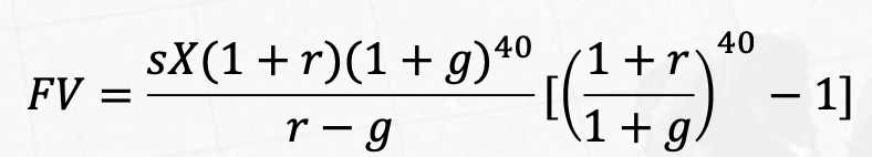
9
Q

What is the formula for future value of a pension fund/value of pension fund at retirement?

A
s = percentage of earning, X = earnings, g = growth rate of earnings, r = annual rate of return on savings
How well did you know this?
1
Not at all
2
3
4
5
Perfectly
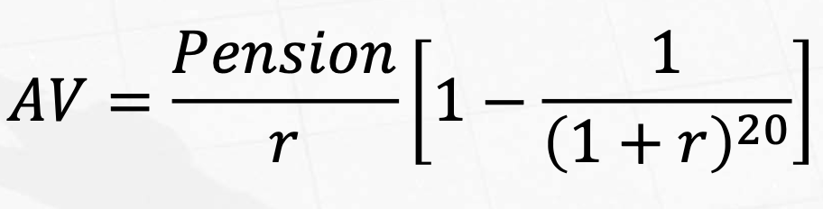
10
Q

What is the formula to find the annual amount received from the pension?

A
Assume 20 because retirement age is 60 and life expectancy is 80, so 20 years to use pension
How well did you know this?
1
Not at all
2
3
4
5
Perfectly
11
Q

What is the final salary formula?

A

earnings x (1+g)^(yrs_of_work)

How well did you know this?
1
Not at all
2
3
4
5
Perfectly
12
Q

What is inflation?

A

Rate at which general level of prices increases

How well did you know this?
1
Not at all
2
3
4
5
Perfectly
13
Q

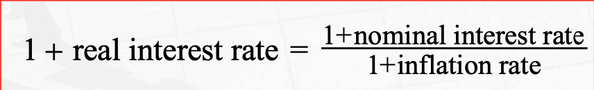
What is the nominal interest rate?

A

Rate at which the value of investment grows in money terms

How well did you know this?
1
Not at all
2
3
4
5
Perfectly
14
Q

What is the Real Interest Rate?

A

Rate at which the purchasing power of an investment increases

How well did you know this?
1
Not at all
2
3
4
5
Perfectly
15
Q

Fisher Equation

What is the Real Interest Rate formula?

A
How well did you know this?
1
Not at all
2
3
4
5
Perfectly
16
Q

What is the formula to approximate the real interest rate?

17
Q

What are the factors of RPI?

A
  • Price of basket of goods: food, clothes, petrol
  • Includes housing costs (mortgage payments, rents & council tax)
  • Basket is arithmetric average of prices
18
Q

What are the factors of CPI?

A
  • Price of (different) basket of goods
  • Excludes housing costs
  • Basket is geometric average
19
Q

How should an amortization schedule for a mortgage be set up?

What columns are needed?

A
  1. Month
  2. Beginning of month mortgage balance
  3. Mortgage repayment
  4. Interest
  5. Scheduled principal repayment
  6. End of month mortgage balance
20
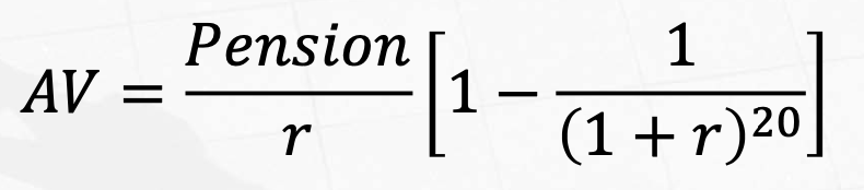
Q

How is mortgage repayment calculated?

A

Inverting the annuity formula

AV = future value, r = rate, replace pension with monthly repayment, replace 20 with number of monthly payments
21
Q

How is interest calculated?

A

Beginning of month mortgage balance x monthly IR

22
Q

How is scheduled principle repayment repayment calculated?

A

mortgage repayment - interest

23
Q

How is the end of month mortgage balance calculated?

A

Beginning of month mortgage balance - scheduled principal repayment

24
Q

How can a DB (defined benefit) pension’s monthly pension amount be calculated?

A
Replace 72.1 with correct accrual rate
25
For DC (defined contribution) pensions, what are pensions (liabilities) dependent on?
accumulated value of fund (asset) | *Assets = Liabilties*
26
What is meant by DB (defined benefit) pensions?
The employer has promused a pension, and must set aside assets to honour this liability | *Market Value of Assets = PV (Pension Liability)*