Lecture 1 Flashcards

(24 cards)

1
Q

Functional groups determine

A

What they do and physical properties and REACTIVITY

How well did you know this?
1
Not at all
2
3
4
5
Perfectly
2
Q

Molecular shape

A
  • influence function???
    What it reacts with???
How well did you know this?
1
Not at all
2
3
4
5
Perfectly
3
Q

What are coenzymes

A

Small molecules that help enzymes catalyse reactions

How well did you know this?
1
Not at all
2
3
4
5
Perfectly
4
Q

Structure of coenzyme A

A
How well did you know this?
1
Not at all
2
3
4
5
Perfectly
5
Q

Fun facts about alcohols

A
  • low molecular weight alcohols are soluble in water due to hydrogen bonding
  • undergo nucleophillic substitution reactions
  • can be oxidised
  • form esters with carboxylic acids
How well did you know this?
1
Not at all
2
3
4
5
Perfectly
6
Q

What are primary alcohols oxidised to

A

Aldhyde
Carboxllyic

(Still primary after oxidation)

How well did you know this?
1
Not at all
2
3
4
5
Perfectly
7
Q

What are secondary alcohols oxidised to

A

Ketone

How well did you know this?
1
Not at all
2
3
4
5
Perfectly
8
Q

What are tertiary alcohols oxidised to

A

The dont

How well did you know this?
1
Not at all
2
3
4
5
Perfectly
9
Q

Oxidation’s in lab can be carried out with…

A

H+/Cr2O72-

How well did you know this?
1
Not at all
2
3
4
5
Perfectly
10
Q

Reducxtuion in lab can be a carried out with…

A

LiAlH4

How well did you know this?
1
Not at all
2
3
4
5
Perfectly
11
Q

Silver mirror test

A
  • selectively oxidises alhdyde to carbox
How well did you know this?
1
Not at all
2
3
4
5
Perfectly
12
Q

Oxidation/reduction in living system

A

Ethanol enzymatically oxidised to ethanal in liver
Oxidant = coenzyme, NAD+
Reductant = coenzyme, NADH

Enzyme = alcohol dehydrogenase

How well did you know this?
1
Not at all
2
3
4
5
Perfectly
13
Q

Ester vs ether

A
  • ethers may be cleaved but are generally unreactive
  • Esters are more easily cleaved by reaction with nucleophiles
How well did you know this?
1
Not at all
2
3
4
5
Perfectly
14
Q

Amine structure

A
How well did you know this?
1
Not at all
2
3
4
5
Perfectly
15
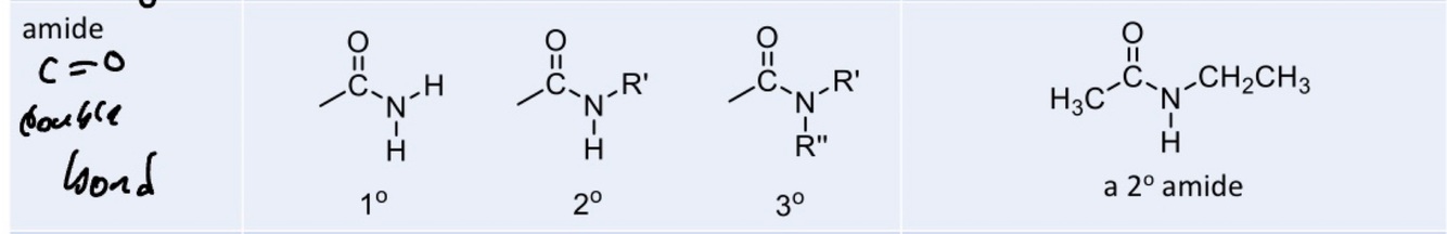
Q

Amide

A
How well did you know this?
1
Not at all
2
3
4
5
Perfectly
17
Q

Difference between amides and amines

A

Amines are very basic
AMIDES are not appreciatbly basic or nucleophillic
- amides have a c=o next to the nitrogen which competes for loan pair of electrons
- amides are acid derivatives - can react with nicleophilles such as water but are not very reactive and are quite resisitant to hydrolysis

18
Q

Sulfur containing functional groups

19
Q

Thiol and disulphide oxidation and reduction

A
  • can be achieved with quite mild oxidants - O2
  • reverse reaction can occur with mild reductants
  • happens redily
20
Q

Phosphorus containing functional groups

A

H3PO4 forms a series of phosphate esters where the OH groups are successively replaces by OR groups from alcohols

  • the phosphates with “hydrogen” in them are strong acids and are generally ionised at physiological pH - thus usually represented in ionic form
21
Q

Example of a phosphate di - ester

A
  • some are esters of glycerol
22
Q

Phosphate groups…

A
  • help to solubilise compounds in water
  • are quite resistance to hydrolysis
23
Q

Example of diphsophate

24
Q

Biological recognition

A
  • shape of biological target (host) controlled by factors including:
  • polar / non-polar attractions and repulsion’s
  • steric effects - interaction between large groups are avoided geometric contaisnts inposed by rigid structure such as:
    • rings
    • planar blocks of atoms found in amides
  • chiral it’s is also important