Lecture 5 Flashcards

(16 cards)

1
Q

What is order of bond weakness

A

Most weak = pi bond
Middle = L-C
Strongest = C=C

How well did you know this?
1
Not at all
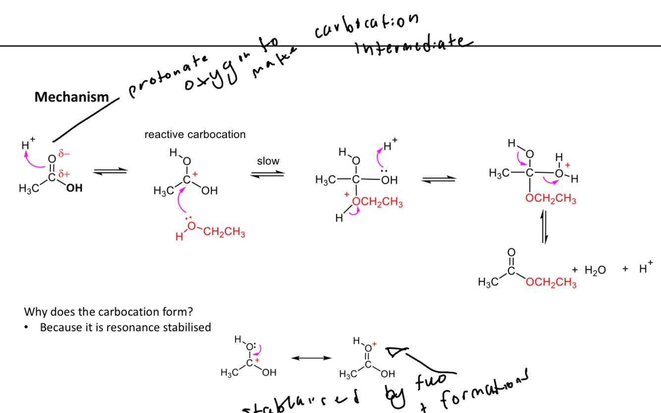
2
3
4
5
Perfectly
2
Q

Acid anhydride

A
How well did you know this?
1
Not at all
2
3
4
5
Perfectly
3
Q

Consequence of L group

A

C=O group can be further polarised
- more electron withdrawing —> more reactive - attractive to Nu:-

How well did you know this?
1
Not at all
2
3
4
5
Perfectly
4
Q

Reactivity of L groups

A
How well did you know this?
1
Not at all
2
3
4
5
Perfectly
5
Q

AMIDE less reactiv e because

A
How well did you know this?
1
Not at all
2
3
4
5
Perfectly
6
Q

Preparation of reactive carboxyllic acid derivatives - ANHYDRIDES

A
How well did you know this?
1
Not at all
2
3
4
5
Perfectly
7
Q

Preparation of reactive carboxylic acid derivatives - ACID CHLORIDES

A
How well did you know this?
1
Not at all
2
3
4
5
Perfectly
8
Q

When a weak nucleophille (in nucleophillic acyl substitution with anhydrides) what happens

A

Deprotonation step after attack

How well did you know this?
1
Not at all
2
3
4
5
Perfectly
9
Q

Nucleophillic Acyl substitiurtion with reactive Acod derivatives - ANHYDRIDES

A
How well did you know this?
1
Not at all
2
3
4
5
Perfectly
10
Q

Nucleophillic acyl substitution won’t reactive acid derivatives - ACID CHLORIDE

A
How well did you know this?
1
Not at all
2
3
4
5
Perfectly
11
Q

unreatvice acid derivatives

A
  • amides
  • carboxyllic acids
  • esters

WITH NEUTRAL NEUCLEOPJHILSS

How well did you know this?
1
Not at all
2
3
4
5
Perfectly
12
Q

Carboxylic acid reaction

A
How well did you know this?
1
Not at all
2
3
4
5
Perfectly
13
Q

Amide hydrolysis

A
How well did you know this?
1
Not at all
2
3
4
5
Perfectly
14
Q

Fats, oils, waxes and lipids

A
  • naturally occurring substances that can be extracted from cells by non-polar solvents
How well did you know this?
1
Not at all
2
3
4
5
Perfectly
15
Q

Hydrolysis of fats

A
How well did you know this?
1
Not at all
2
3
4
5
Perfectly
16
Q

How does soap work

A
  • forms a cloudy solution of spherical micelles
  • the hydrophobic hysrecarbon chains cluster together in the middle of the Michele
  • the polar (hydrophilic) carboxylate groups are often on the surface
  • oil and dirt dissolve in the non polar part of the Michelle