Lecture 1 Flashcards

(28 cards)

1
Q

What is Scientific Computing?

A
How well did you know this?
1
Not at all
2
3
4
5
Perfectly
2
Q

What are typical problems for scientific computing?

A
How well did you know this?
1
Not at all
2
3
4
5
Perfectly
3
Q

What are the formula’s for absolute and relative error?

A

Note: these may be negative, but usually only absolute values are quoted

How well did you know this?
1
Not at all
2
3
4
5
Perfectly
4
Q

What are the two types of errors?

A
  1. Input errors
  2. Computational errors
How well did you know this?
1
Not at all
2
3
4
5
Perfectly
5
Q

What are three examples of input errors?

A
How well did you know this?
1
Not at all
2
3
4
5
Perfectly
6
Q

What are three examples of computational errors?

A
How well did you know this?
1
Not at all
2
3
4
5
Perfectly
7
Q

How can the total error be split into the two types of errors?

A
How well did you know this?
1
Not at all
2
3
4
5
Perfectly
8
Q

What is a trunctation error and a rounding error?

A
How well did you know this?
1
Not at all
2
3
4
5
Perfectly
9
Q

What are the forward and backward errors?

A
How well did you know this?
1
Not at all
2
3
4
5
Perfectly
10
Q

When is a problem well-posed?

A
How well did you know this?
1
Not at all
2
3
4
5
Perfectly
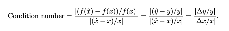
11
Q

What is the condition number?

A
How well did you know this?
1
Not at all
2
3
4
5
Perfectly
12
Q

How can the condition number approximated?

A
How well did you know this?
1
Not at all
2
3
4
5
Perfectly
13
Q

What does the concept stability mean?

A
How well did you know this?
1
Not at all
2
3
4
5
Perfectly
14
Q

What does the concept of accuracy imply?

A
How well did you know this?
1
Not at all
2
3
4
5
Perfectly
15
Q

How are floating point number stored?

A
How well did you know this?
1
Not at all
2
3
4
5
Perfectly
16
Q

What is the concept of normalization?

17
Q

What is the number of floating points numbers that exist in a system?

18
Q

What is the meaning and formula of an overflow and underflow level of a floating point system?

19
Q

What are the two rounding methods?

20
Q

What is the unit roundoff? What does it imply?

21
Q

What is the specific definition for Python?

epsilon_mach

22
Q

What are subnormal floating point systems? Are they better?

23
Q

How are the different floating point operations managed?

24
Q

How can floating points operation errors be rewritten?

25
What are cancellation errors?
26
What are overflow errors?
27
What is the IEEE double precision format?
28