Lecture 10 Flashcards

(21 cards)

1
Q

What is the definition of an integral?

A
How well did you know this?
1
Not at all
2
3
4
5
Perfectly
2
Q

What is the quadrature rule?

A
How well did you know this?
1
Not at all
2
3
4
5
Perfectly
3
Q

How are Quadrature rules formulated? What are its weights? When is it open or closed?

A
How well did you know this?
1
Not at all
2
3
4
5
Perfectly
4
Q

How accurate are the Quadrature rules? Give a bound. How to improve the accuracy?

A
How well did you know this?
1
Not at all
2
3
4
5
Perfectly
5
Q

What are proggressive quadrature rules?

A
How well did you know this?
1
Not at all
2
3
4
5
Perfectly
6
Q

How stable are quadrature rules?

A
How well did you know this?
1
Not at all
2
3
4
5
Perfectly
7
Q

What is the Newton-Cores quadrature? Name three examples (no formulas).

A
How well did you know this?
1
Not at all
2
3
4
5
Perfectly
8
Q

What is the midpoint rule (integration)?

A
How well did you know this?
1
Not at all
2
3
4
5
Perfectly
9
Q

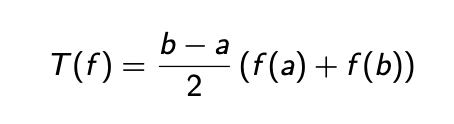
What is the Trapezoid rule (integration)?

A
How well did you know this?
1
Not at all
2
3
4
5
Perfectly
10
Q

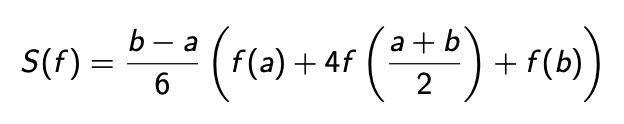
What is Simpson’s rule?

A
How well did you know this?
1
Not at all
2
3
4
5
Perfectly
11
Q

How do you transform a quadrature rule to a new interval?

A
How well did you know this?
1
Not at all
2
3
4
5
Perfectly
12
Q

What is a composite quadrature rule?

A
How well did you know this?
1
Not at all
2
3
4
5
Perfectly
13
Q

What is the degree of exactness (integration)?

A
How well did you know this?
1
Not at all
2
3
4
5
Perfectly
14
Q

What is the error estimate from integration based on r?

A
How well did you know this?
1
Not at all
2
3
4
5
Perfectly
15
Q

How do you improve the accuracy of integration (quadrature)?

A
How well did you know this?
1
Not at all
2
3
4
5
Perfectly
16
Q

What is the Clenshaw-Curtis Quadrature?

17
Q

What is a Gaussian Quadrature?

18
Q

What is polynomial division?

19
Q

How to change the interval for a Gaussian Quadrature?

20
Q

What is adaptive integration?

21
Q

How to do differentiation? What is a better alternative?