Experimental Fracture Mechanics - History
concept of …….. ………. …….. (SIF)
characterised stress field around a crack
Demonstrated how SIF could be derived using classical elasticity theory
Stress intensity factor
linear elastic fracture mechanics
Experimental Fracture Mechanics - 3 modes
Sketch the 3 modes of cracking ?

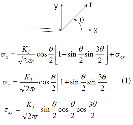
Theoretical background
What does this show us?

Can show stress field round crack subject to mode I loading
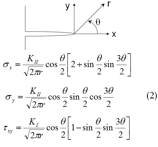
Theoretical background 2
what does this show us?

Stress field for mode II loading
Experimental Fracture Mechanics - Practical Application

LEFM
infinite
III
I
II
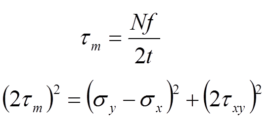
Experimental Fracture Mechanics - Photoelasticity
Stress optic law relates fringe order N to maximum in-plane stress
what is Mohrs circle equation (5) for this?

Experimental Fracture Mechanics - PE 2
what does this tell us ?

This expression used in many ways to evaluate KI and KII
Experimental Fracture Mechanics - classical approach (fill in the gaps)
with this , what is it possible to find?

Using (6), (7) with KII =0, possible to find KI and sigmaox in terms of rm, qm and Nm
PE Pattern
what does this show ?

pure mode I crack
PE Pattern 2
what type of fringe pattern is it ? What does this show ?

Isochromatic fringe pattern around
a crack loaded in mixed-mode tension
Line approach
how are and KI sigmaox found ?

KI and sigmaox found using two points (r1, 90) and (r2, 90)
Experimental fracture mechanics - other approaches
what are 2 other approaches?
Three-point deterministic
Over-deterministic
Practical use of PE
crack
Three dimensional
perpendicular
plane
static , fatigue
thin