What is Moire interferometry
A combination of moire effect, diffraction by a grating and two beam interference
High sensitivity in plane moire requires a grating.
What properties must this grating have and how can it be produced?
It requires a reflective diffraction grating (high frequency, uniform contours on surface)
This can be produced by moulding on to the surface of the specimen, or exposing the specimen, when it is covered with a photosensitive emulsion
The mould is usually a __________ plate with ______ or _____-____ grating produced by interference of ___ _____ beams.
The mould is usually a holographic plate with linear or cross-line grating produced by interference of two plane beams.
Draw a diagram of the moulding process (a glue, b harden, c remove)

Give a common thickness and frequency for a grating
0.025 mm, 1200 l/mm
The master grid which produces the moulds, can be used to produce a submaster in silicone rubber
What is this used for?
To replicate the phase grating in epoxy on the specimen surface, instead of using Al or Au layer in between.
Here, surface finish is irrelevant as long as it is clean because curing materials will fill the surface imperfections.
The ______ of the mould plate and the evaporated ________/____ accounts for the _______ of ____ onto the specimen.
The gelatin of the mould plate and the evaporated aluminium/gold accounts for the transfer of film onto the specimen.
What 3 things is the deviation of a light beam dependant on?
Frequency of grating
Angle of incidence
Wavelength of light
So How does interferometry determine components of displacement/strain?
A high frequency grating of equidistant lines is deposited on a part. When the part is subjected to stresses, deformation of the part, and consequently of the grating applied to it, occurs.
The deformed grating is then symmetrically illuminated by two mutually ___________________________.
The ____________ of these beams are tuned to the first and negative first order ___________ of the specimen grating/
In such a configuration +1 diffraction order of EA and the –1 diffraction order of EB propagate co-axially along the _____________.
Conclusion
The wave fronts of these beams are now not plane due to____________________________________ and their complex amplitudes can be described in terms of the displacement function of specimen surface
I should have said [1], that this directly relates the displacement of the specimen with the amplitude of the beam.
Bibliography
[1] C E _____ (1994)
A high frequency grating of equidistant lines is deposited on a part. When the part is subjected to stresses, deformation of the part, and consequently of the grating applied to it, occurs.
The deformed grating is then symmetrically illuminated by two mutually coherent beams with plane wave fronts
The incident angles of these beams are tuned to the first and negative first order diffraction angle of the specimen grating/
In such a configuration +1 diffraction order of EA and the –1 diffraction order of EB propagate co-axially along the grating normal.
The wave fronts of these beams are now not plane due to the deformation of the specimen
grating and their complex amplitudes can be described in terms of the displacement function of specimen surface, relating the displacement of the specimen with the amplitude of the beam.
[1] Chuck E Cheese (1994)
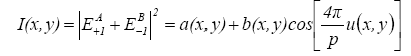
This is an equation for what?
What are the terms l a(x,y) and b(x,y)

Wavefront interference intensity
a(x,y) and b(x,y) = local values of background and contrast
Wavefront deformations are _____ for both waves, but _____________ reversed
An Interference fringe is a line of constant ______________________
In summary, the beams ____ and ____ normal to specimen.
So Moire Interferometry needs a ______ _______ and gives ______________________.
Wavefront deformations are equal for both waves, but longitudinally reversed
An Interference fringe is a line of constant in-plane displacement
In summary, the beams Diffract and reflect normal to specimen.
So Moire Interferometry needs a flat surface and gives in-plane deformation.
Draw a two beam interferometer

ANNOTATE

1 Laser – beam of coherent light
2&3 Front-surface mirrors – directs beam
4 Microscope objective – expands beam
5 Collimating lens – parallel beam
6&7 Mirrors – direct beams to…
8&9 Mirrors – direct beams to specimen grating
- obtains correct angle of interference
10 Specimen grating – diffracts beams
11 Decollimating lens – narrows beam
End Observing system or camera
How would you employ this technique for HAZ welds? (4)
(1 concerns grating
2 concerns loading
3 concerns deforming
4 concerns interfering)
Get diffraction gratings onto the cross section of the specimens, covering whole of the weld and HAZ located at the centre of the specimens.
Apply tensile force normal to the weld line.
sample will plastically deform and the deformation is confined to a region around HAZ where there was extensive material flow during the welding process.
This information allows inferences to be made about the magnitude and distribution of residual stresses in the region of the weld.
(Summary of Moire Methods for personal reference)
Moiré interferometry (0.5 mm/fringe)
- high resolution, in-plane strain measurement
- uses diffraction and two beam interference
- Accuracy is dependent on:
pitch
absolute accuracy of pitch
contrast of edge of lines