endocrine disruption
-termed by Theo Colburn in 1993 -any endocrine system can be involved but usually the sex hormones are studied bc secondary sex characteristics are very sensitive to steroid hormones 1. agonists 2. antagonists 3. alter hormone synthesis 4. alter hormone metabolism 5. prime the organism
TEDX
-the endocrine disruption exchange -group set up to learn more about endocrine disruptors
agonists
-act like a hormone -ex: DES
antagonists
-block hormone receptors -DDE
alter hormone synthesis
-ex: atrazine
alter hormone metabolism
-ex: PCBS (thyroid hormone)
prime the organism
-exposure to endocrine disruptors in utero changes the number of hormone receptors expressed, makes them more sensitive to environmental estrogens as an adult -ex: BPA
What compound is this?

estradiol -like estrogen, made in ovaries or testes -this hormone primarily regulates gene expression in target tissues and can act on alternative pathways
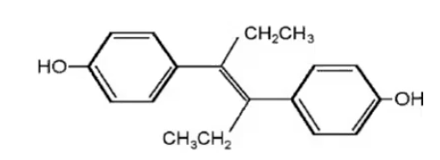
What compound is this?

diethylstilbesterol (DES) -similar structure to estrogen -meant to block morning sickness in pregnant women -causes clear cell adenocarcinoma and cervical dysplasia
idea of endocrine disruptors was not widely accepted
-transgenerational effects -lesions are microscopic -sensitivity is stage dependent -effects may be synergistic (compounds may interact and complicate their effects) -low dose effects
non-monotonic dose responses
-any kind of dose response that isn’t linear -ex: moderate amounts of BPA have highest dose response in mice (tumor size) bc the cells start dying at a certain point and so tumor size decreases again -ex: other interactions occur at moderate doses so only low and high give large dose response -ex: high dose response at low concentration but no additional change at high conc. (atrazine)
estrogen pathways
-multiple pathways -depending on which of the receptors you’re targeting, you get very different effects from the same hormone
perfluorochemicals
-fluorine is most electronegative element -C-F bond is strongest bond in nature -usually around 8 carbons in the chain -polar group at one end to bind onto the material being coated -none occur naturally -prevalent in birds -100x more concentrated indoors than out, major exposure is through inhalation of dust -increases estrogen receptors and then breast cancer cell proliferation
correlation between PFCs and menopause in women 51-65
-discovered by Sarah Knox -studied PFOS

example of epigenetic change
-Dutch Hunger Winter -children born during it had a high incidence of diabetes and heart disease bc fetus was very calorie thrifty and expected starvation conditions -environment mismatch with adaptations
Barker Hypothesis
