Lecture 9 Flashcards

(32 cards)

1
Q

What is the chance =? that we incorrectly reject a true null hypothesis

A

𝛼

How well did you know this?
1
Not at all
2
3
4
5
Perfectly
2
Q

How many types of errors can be made in hypothesis testing

A

2

How well did you know this?
1
Not at all
2
3
4
5
Perfectly
3
Q

What is a type I error

A

Reject a true null

How well did you know this?
1
Not at all
2
3
4
5
Perfectly
4
Q

What is a type II error

A

Fail to reject a false null

How well did you know this?
1
Not at all
2
3
4
5
Perfectly
5
Q

Table for type I and II errors

A
How well did you know this?
1
Not at all
2
3
4
5
Perfectly
6
Q

What does type I error relate to

A

Significance level of a test =𝛼=π‘ƒπ‘Ÿπ‘œπ‘(𝑇𝑦𝑝𝑒 𝐼)

How well did you know this?
1
Not at all
2
3
4
5
Perfectly
7
Q

What does a type II error relate to

A

Power of a test =1βˆ’π‘ƒπ‘Ÿπ‘œπ‘(𝑇𝑦𝑝𝑒 𝐼𝐼)

How well did you know this?
1
Not at all
2
3
4
5
Perfectly
8
Q

How are the probabilities of making a type I and type II error related

A

They are inversely related

How well did you know this?
1
Not at all
2
3
4
5
Perfectly
9
Q

Why do we tolerate a small type I probability

A

so that we don’t drive the Type II probability to unacceptably high levels

How well did you know this?
1
Not at all
2
3
4
5
Perfectly
10
Q

What is the probability of making a type II error on a diagram showing the Distribution of 𝛽̂𝑗
under 𝐻0:𝛽𝑗=𝛽𝑗0 and the actual distribution of 𝛽̂𝑗

A
How well did you know this?
1
Not at all
2
3
4
5
Perfectly
11
Q

If we select 𝛼 = 5% (rather than 𝛼 = 1%. what happens to the chances of commiting a type I and type II error

A

we make it a little more likely to commit a Type I error but much less likely to commit a Type II error

How well did you know this?
1
Not at all
2
3
4
5
Perfectly
12
Q

How can we answer the question: ‘What range of values of 𝛽𝑗 is consistent with the sample estimate obtained using OLS?’

A

Using a confidence interval

How well did you know this?
1
Not at all
2
3
4
5
Perfectly
13
Q

How to form a typical confidence interval for 𝛽𝑗

A
  • we would not reject a two-tailed 𝐻0 if
    βˆ’π‘<𝑑<𝑐
    βˆ’π‘<(π›½Μ‚π‘—βˆ’π›½π‘—)/(𝑠𝑒(𝛽̂𝑗))<𝑐
  • Rearranging this expression around 𝛽𝑗 yields
    π›½Μ‚π‘—βˆ’[𝑐×𝑠𝑒(𝛽̂𝑗 )]<𝛽𝑗<𝛽̂𝑗+[𝑐×𝑠𝑒(𝛽̂𝑗 )]
How well did you know this?
1
Not at all
2
3
4
5
Perfectly
14
Q

So what is the general confidence interval described as

A
How well did you know this?
1
Not at all
2
3
4
5
Perfectly
15
Q
A
How well did you know this?
1
Not at all
2
3
4
5
Perfectly
16
Q

Key features of confidence intervals

A
  • is symmetric around the estimate 𝛽̂𝑗
  • depends on 𝑐, which is linked to 𝛼, the selected significance level:
    the smaller the significance level, the wider the interval
    95% confidence interval; 5% significance level; 𝑐 ~Β±1.96 (if 𝑛 large)
    99% confidence interval; 1% significance level; 𝑐 ~Β±2.58 (if 𝑛 larger
  • depends on 𝑠𝑒(𝛽̂𝑗 ):

the more accurate our estimate, i.e., the smaller its 𝑠𝑒, the narrower the confidence interval

17
Q

What are confidence intervals also known as

A

Interval estimates

18
Q

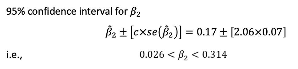
Example of 95% confidence interval for 𝛽2 in this example:

19
Q

What test is used by econometricians to draw inferences about sets of coefficients as a group

A

the 𝑭 test

20
Q

What does regression analysis decompose each 𝑦𝑖 in the sample into

A
  • a fitted value, 𝑦̂𝑖: the part that is
    explained by the estimated model (SRF)
  • a linear function of the explanatory variables (𝑦̂𝑖=𝛽̂0+𝛽̂1 π‘₯1𝑖+…+π›½Μ‚π‘˜ π‘₯π‘˜π‘–)
  • a residual, 𝑒̂𝑖: the part that is
    unexplained (𝑒̂_𝑖=𝑦_π‘–βˆ’π‘¦Μ‚_𝑖)
21
Q

How is the variation in 𝑦𝑖 decomposed

A
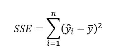
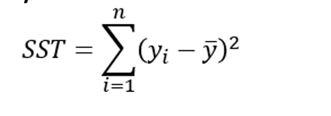
  • The total sum of squares, SST which measures total variation in 𝑦𝑖
  • the Explained Sum of Squares, SSE which measures the variation in 𝑦̂𝑖-
    the variation in 𝑦𝑖 that is explained by the model
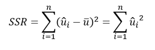
  • the Residual Sum of Squares, SSR
    measures the variation in 𝑒̂𝑖
    the variation in 𝑦𝑖 that is unexplained
22
Q

Equation for SST

23
Q

Equation for SSE

24
Q

Equation for SSR

25
What is the coefficient of determination= 𝑅^2
26
What does the coefficient of determination represent
- It is the ratio of the explained variation to total variation - It is the fraction of the sample variation in 𝑦 that is explained by 𝒙 0≀𝑅^2≀1
27
If 𝑅^2= 0.10 what does that show
10% of variation in 𝑦 is explained by variation in the variables in 𝒙, the remainder (90%) by other factors (𝑒)
28
What does a higher 𝑅^2 indicate for the model
That it is a better 'fit' to the data
29
Diagrams to illustrate R^2 as a measure of model performance
30
Ballentine Venn Diagram to show 𝑹^𝟐
31
What is the problem with R^2
Including an additional regressor in a model never reduces and usually increases 𝑅^2
32
What is used to overcome this problem
we adjust 𝑅^2 by a factor involving 𝑛 and π‘˜