How do you turn a max LP problem into a Min one(or vice versa?)
Just multiply the coefficients of the objective function by -1
How?


How to change an equality constraint into inequalities?

How to deal with a variable x that is unrestriced in sign?

How can a generic LP be expressed using matrices?

Describe the max flow problem in terms of a graph.
define its properties
What its relation to LP - what constraints we have?

It starts with zero flow.
With each iteration it tries to find a shortest path from s to t. then, it tries to maximize the stream.
This path is constisted of two kinds of edges (u,v):
(u,v) is in the original network and is not yet in max capacity
the reverse (v,u) is in the original netwrok, and there is some flow along it.
In the first case: f can be increased no more than c(u,v)-f(u,v)
In the second case: f can be increased up to f(v,u) additional units

Define an (s,t)-cut

prove


How can you turn a bipartite matching into a max flow program and then to a LP one?

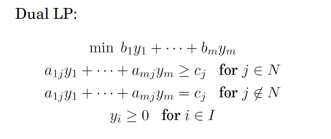
Write in matrix form the dual LP

Write the Duality theorem

NOTE: in the dual, if we have equality in the primal, the y’s in the dual aren’t restricted to be non-negative.

Which property regarding to zero games is suprising?

Explain

How should Row choose its strategy if he nows Colums will choose the best pure solution he can?

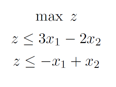
For fixed x1 and x2, write the LP of the attached image


then how can Row maximize the minimal value of Column

Write the Max of Column if he chooses first the strategy

A linear equation involving the xi’s defines a _______ it this same space R^n
A linear inequality involving the xi’s defines a _______ it this same space R^n
what is an half-space?
The feasible region of the linear program is specified by… ?
A linear equation involving the xi’s defines a hyperplane it this same space R^n
A linear inequalityinvolving the xi’s defines ahalf-space it this same space R^n
Half space defines all points that are either precisely on the hyperplane or lie on one particular side of it.
the feasible region of the linear program is specifed by a set of inequalities and is therefore the intersection of the corresponding half-spaces, a convex polyhedron.
define a vertex in terms of hyperplanes
Each vertex is the unique point at which some subset of hyperplanes meet.

Each vertex is specified by a set of _ equalities.
Describe the notion of a neighbour.

If we’re in the origin, how do we operate in the simplex algorithm?

How do we proceed if vertex u is not at the origin?
we look at the inequalities which define u.
we make the equation to be of the form:
expression >= 0.
then assign - yi = expressioni.
Then we change the subject function accordingly.
If all coefficients are negative - we’re done!
step2:
How did we create Xodd and Xeven and why (Xodd+Xeven)/2 = X?
step 3:
Why (Xodd+Xeven)/2 = X means that X is not a vertex?