



Explain the EPR paradox

Write a super position over n qubits

What are qunatum gates?
Unitarian matrices
Define Unitarian matrix





Write Not, Z, Cnot, C-U

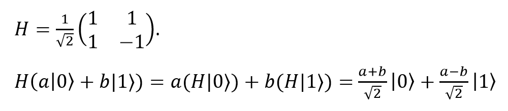
How can we apply H on the first cubit?

What important property does quantum gates have?





Describe how, by sending two classical bit and an EPR pair, we can teleportize a state.









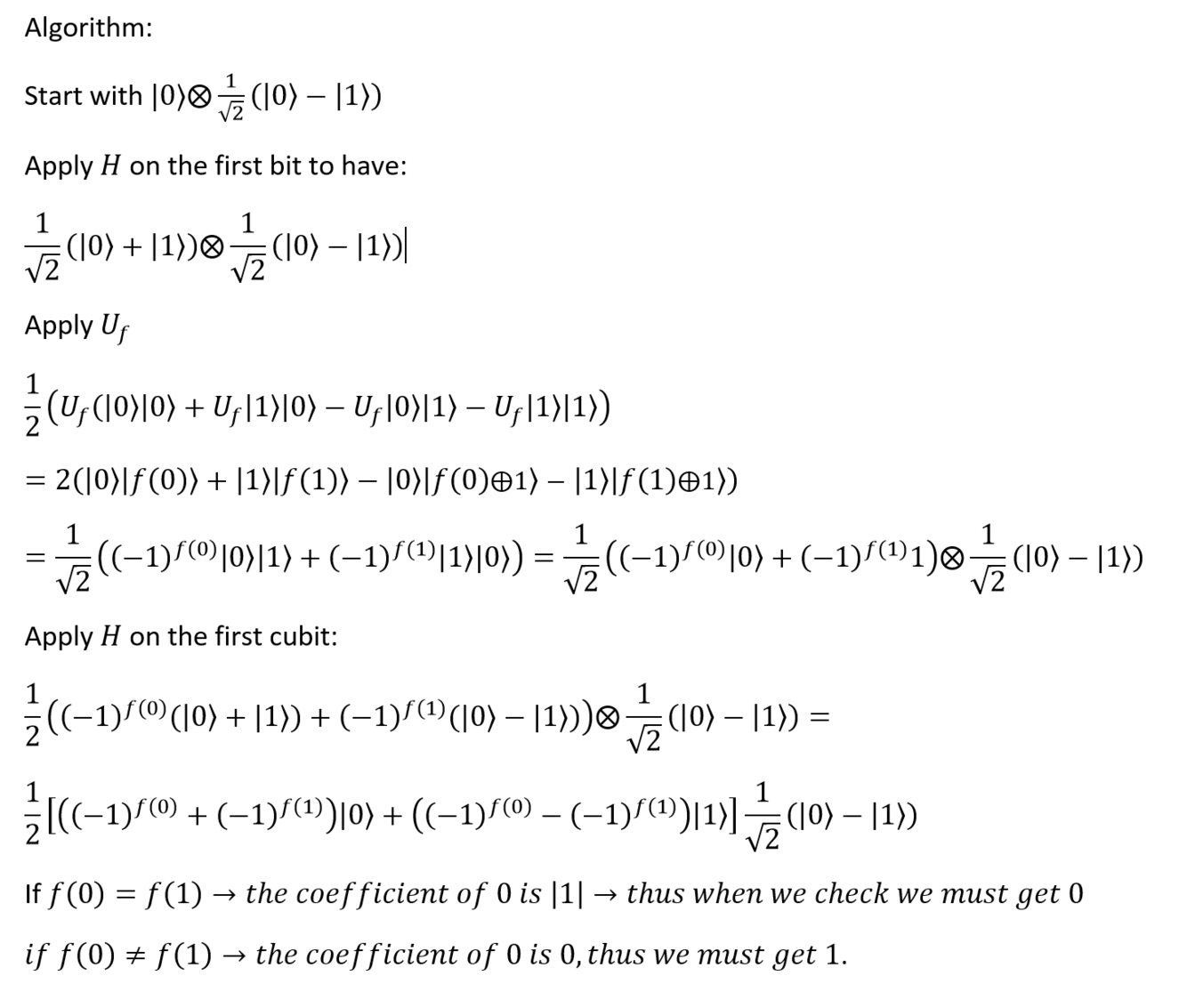
Describe deutch-Jozsa

define Simon’s algorithm

Describe Simon’s algorithm

What is the conclusion?

So, how can we find a


