Define Linked List
A linked list is a linear data structure where each element is a separate object. Each element (we will call it a node) of a list is comprising of two items - the data and a reference (pointer) to the next node.
The last node has a reference to null. The entry point into a linked list is called the head of the list.
It should be noted that the head is not a separate node, but a reference to the first node. If the list is empty then the head is a null reference.
Name Advantages of Linked Lists
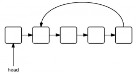
What is a cycle/loop in the singly-linked list?
A cycle/loop occurs when a node’s next points back to a previous node in the list. The linked list is no longer linear with a beginning and end—instead, it cycles through a loop of nodes.

What are some types of Linked Lists?

What is the Time Complexity of Linked List Operations?
Name some Disadvantages of Linked Lists?
Under what circumstances are Linked Lists useful?
Linked lists are very useful when you need :
Using an array-based list for these purposes has severe limitations:
How do you Implement Linked Lists Using Stacks?
You can simulate a linked list by using two stacks. One stack is the “list,” and the other is used for temporary storage.
This isn’t terribly efficient, by the way, but it would in fact work.