What’s the equation for mean squared error? (multiple dimensions)

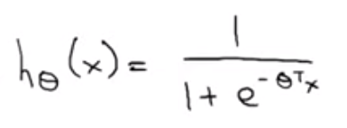
What’s the equation for the prediction of logistic regression?
sigmoid(thetaT*x) (I think)
What does logistic regression output?
Calculates the probability of each class, and takes the class with the highest probability. The prediction is based on the values of a set of independent variables.
What is this?

The output of logistic regression
What are some important characteristics to remember about logistic regression? (2)
Can you apply linear regression to a classification problem?
Usually it’s a bad idea
What is the output of logistic regression?
The argmax of probabilities (between 0 and 1)
What is this?

The hypothesis of linear regression
What is the hypothesis of logistic regression in:
The hypothesis of linear regression fed into the sigmoid function

What does the graph of logistic regression look like?
Sigmoid function


Do the outputs of logistic regression add up to exactly 1?
How should you think of the prediction of binary logistic regression?
Predict 1 when θTx >= 0.5. Otherwise, 0
How can you solve for the line of the decision boundary for binary logistic regression?
Essentially, setting theta transpose x (the hypothesis of linear regression) equal to 0 is the equation for the decision boundary.
Steps:
What is important to remember about the decision boundary of binary logistic regression?
h(x) = 0.5
Can logistic regression take on a nonlinear decision boundary? If so, how?
Yes, by adding higher-order polynomial term features
Can binary logistic regression have a decision boundary that is a circle?
For logistic regression, can we use the same cost function that linear regression uses?
No. Because plugging the sigmoid (which is a nonlinear function) into the MSE equation makes for a nonconvex function
Intuition:

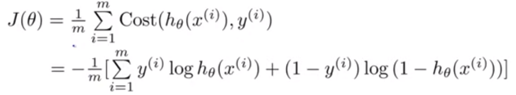
What do we know about the cost function for logistic regression? (3)
What does learning in logistic regression do? Why?
What’s the cost function for logistic regression in compact form?

What do we know about the negative average conditional log likelihood for logistic regression?
It’s convex
What’s the softmax function?