Explain distributed windings?
Concentrated windings make poor use of available space and air gap
Number of stator slots depended on radius of machine
Each phase has multiple coils occupying several slots around air gap
Air gap flux density distribution for distributed windings will have a better shape (more sinsusoidal) reducing space harmonic content, increasing effciency.
What is the winding distribution factor Kd?
The space shift of coils in distributed windings results in a time shift in each coil
Therefore total EMF induced in a phase is vector sum of Emf in each coil
This is accounted for by kd
M is number of slots each phase band occupies
ß is angle between slots of slot pitch

What is short Pitching?

Improves on single distibuted windings
allows length of end connections of phase coils to be shortened
Reducing harmonic content of air gap further
Reduces flux cut by the coil
therfore phase voltage is reduced by a factor Kp “Pitch Factor”
alpha is angle by which coil is short pitched realtive to a full pole pitch
note: double layer winding necessary for short pitching

What is Specific Magnetic Loading?
B is defined as average flux density (B) measured over one pole pitch
Magnitude of B must be limited otherwise magnetic saturation will cause excessively large magnetising currents and increased iron losses

What is specific electrical Loading J?
Defined as total effective current per unit length averaged around the air gap.
Magnitude of J must be limited to keep conduction losses within specified bounds

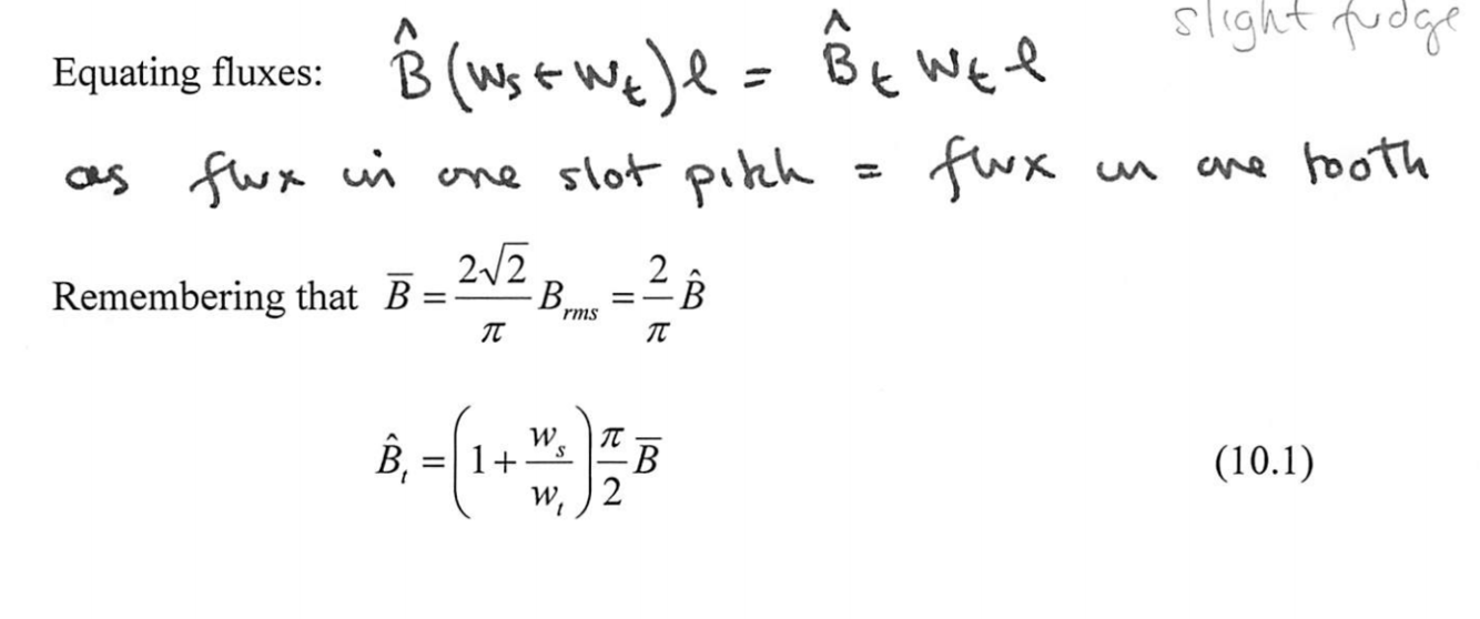
How do you calculate peak tooth flux density?
Realtionship can be found by assuming that the air-gap flux over one tooth plus slot pitch passes only through the tooth

Explain Core flux?
FLux that passes radially through one magnetic pole splits into two equal components and travel ciurcumferentially around the stator or rotor iron cores to the next magnetic pole of oppsoite polarity.
Flux density in stator or rotor core can be related to B by conservation of flux

To work out turns per coil
Nph/coils per phase
For short pitched coils = slots
For non- short pitched cols= slots/2
Vph =
k*Kw*N*Brms
K=
wld/p