Main Subjects Flashcards

(10 cards)

1
Q

What is the formula for the dot product?

A

â • û = a1u1+a2u2+a3u3

How well did you know this?
1
Not at all
2
3
4
5
Perfectly
2
Q

What’s the result of a dot product?

A

A scalar meaning a number

How well did you know this?
1
Not at all
2
3
4
5
Perfectly
3
Q

Two vectors a and b are orthogonal if and only if?

A

a • b = 0

meaning a1b1+a2b2+a3b3=0

How well did you know this?
1
Not at all
2
3
4
5
Perfectly
4
Q

What is the formula for the cross product?

A

Matrix

How well did you know this?
1
Not at all
2
3
4
5
Perfectly
5
Q

What’s the result of a cross product?

A

A vector

How well did you know this?
1
Not at all
2
3
4
5
Perfectly
6
Q

What do I get If a cross product two vectors?

A

Another vector that is orthogonal to them

How well did you know this?
1
Not at all
2
3
4
5
Perfectly
7
Q

What is the synonymous of lenght of vector?

A

Magnitude

How well did you know this?
1
Not at all
2
3
4
5
Perfectly
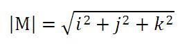
8
Q

What’s the formula of the magnitude of a vector?

A
How well did you know this?
1
Not at all
2
3
4
5
Perfectly
9
Q

There are two notations when given result of a vector, what are they?

A

=i+j+k

or

=<x,y,z>

How well did you know this?
1
Not at all
2
3
4
5
Perfectly
10
Q

What’s the formula for the unit vector?

A
How well did you know this?
1
Not at all
2
3
4
5
Perfectly