Square roots rules Flashcards

(4 cards)

1
Q

How many root that a positive number (a) have?

A

Two

How well did you know this?
1
Not at all
2
3
4
5
Perfectly
2
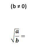
Q

If a ≥ 0 and b ╪ 0 what is?

A
How well did you know this?
1
Not at all
2
3
4
5
Perfectly
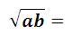
3
Q

If a ≥ 0 and b ≥ 0 what is?

A
How well did you know this?
1
Not at all
2
3
4
5
Perfectly
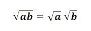
4
Q

If a ≥ 0 and b ≥ 0 what is?

A
How well did you know this?
1
Not at all
2
3
4
5
Perfectly