🧮 Maths Flashcards

(76 cards)

1
Q

Math: what is the cosine rule

A

a = sqrt(b2+c2-2bccos(A))

How well did you know this?
1
Not at all
2
3
4
5
Perfectly
2
Q

Math: at what angle do a tangent and a radius meet

A

90°

How well did you know this?
1
Not at all
2
3
4
5
Perfectly
3
Q

Math: a triangle with multiple angles of 60° is what

A

An equilateral triangle

How well did you know this?
1
Not at all
2
3
4
5
Perfectly
4
Q

Math: what is the quadratic formula

A
How well did you know this?
1
Not at all
2
3
4
5
Perfectly
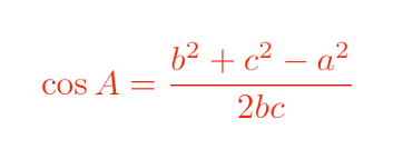
5
Q

Math: what is the sine rule

A
How well did you know this?
1
Not at all
2
3
4
5
Perfectly
6
Q

Math: what is the cosine rule for angles

A
How well did you know this?
1
Not at all
2
3
4
5
Perfectly
6
Q

Maths: when doing circle theorum what should you do to all the radei

A

Label them as symetrical

How well did you know this?
1
Not at all
2
3
4
5
Perfectly
7
Q

Maths: what is the symbol for direct proportionality

A

How well did you know this?
1
Not at all
2
3
4
5
Perfectly
8
Q

Maths: what is the equation to find direct proportionality

A

y = kx

How well did you know this?
1
Not at all
2
3
4
5
Perfectly
9
Q

Math: what is the equation of a line perpendicular to y = 2x + 3

A

y = -1/2x + c

How well did you know this?
1
Not at all
2
3
4
5
Perfectly
10
Q

Math: what is an expression

A

It is a mathematical statement containing numbers and variables, 4m + 5

How well did you know this?
1
Not at all
2
3
4
5
Perfectly
11
Q

Math: what is an equation

A

It is a statement that equals something, 4m + 5 = 6

How well did you know this?
1
Not at all
2
3
4
5
Perfectly
12
Q

Math: equation for a straight line

A

Y=mx+c

How well did you know this?
1
Not at all
2
3
4
5
Perfectly
13
Q

Math: what is the area of a trapezium

A
How well did you know this?
1
Not at all
2
3
4
5
Perfectly
14
Q

math: what is the volume of a sphere, its surface area?

A
How well did you know this?
1
Not at all
2
3
4
5
Perfectly
15
Q

math: if the center of a circle is at the point (0, 0) and the circle intersects the y axis at (0, 6) what is the equation of the circle

A
How well did you know this?
1
Not at all
2
3
4
5
Perfectly
16
Q

Maths: how to find the turing point with completing the square

A
How well did you know this?
1
Not at all
2
3
4
5
Perfectly
17
Q

Math: sine rule for area

A
How well did you know this?
1
Not at all
2
3
4
5
Perfectly
18
Q

Maths: what is the equation of this line

A

y = 1/x

How well did you know this?
1
Not at all
2
3
4
5
Perfectly
19
Q

Maths: what is the equation of this line

A

y = x^3

How well did you know this?
1
Not at all
2
3
4
5
Perfectly
20
Q

Math: what is the y intercept of a quadratic curve

A

y = x^2 + bx + c

How well did you know this?
1
Not at all
2
3
4
5
Perfectly
21
Q

Maths: what type of graph is y = a^x

A

An asymptote

How well did you know this?
1
Not at all
2
3
4
5
Perfectly
22
Q

Math: what is the equation of exponential graphs

A

y = a x b^x

How well did you know this?
1
Not at all
2
3
4
5
Perfectly
23
Q

Math: what is truncation

A

To leave out digits past a certain point without rounding

How well did you know this?
1
Not at all
2
3
4
5
Perfectly
24
Maths:
25
Maths:
26
Maths: what is it called when a quantity increases by the same percentage repeatedly
It is called exponential growth
27
Math: when a quantity decreases by the same percentage repeatedly what is it called
Exponential decay
28
Math: what do you do to find the roots of a function
f(x) = 0
29
Math: how many digits do you write bearings in
3 e.g. 040 degree bearing rather than 40 degree
30
Math: what are the 4 types of transformations
- enlargement - reflection - rotation - translation
31
Math: what is the definition of similar shapes
The 2 shapes are proportional
32
Matt: what is the definition of congruent shapes
2 shapes are the same (although they can be rotated)
33
Maths:
34
Maths: what happens when you divide or multiply an inequality by a negative
The sign flips, < x -1 is the same as >
35
Math: what is the vertex of a graph
Turning point
36
Maths: What is the y > 3x + 4 line
37
Math: what does the dotted line on an inequality graph mean
It means that is is greater than but not equal - y > 3x + 4
38
Math: what does the solid line on an inequality graph mean
Greater than or equal to - y ≥ 3x + 4
39
Math: line inequality?
40
Math: what is a triangle number
Add this
41
math: what is a segment of a circle
42
math: what is a sector of a circle
43
math: what does a cumulative frequency diagram look like
45
Math: what is the vertex of a graph
It is the turning point
46
Do dis
47
Make on the weird circle theorems
48
Math: what is the amplitude if a graph
The max height reached by the graph
49
Math: how often does y = sin(x) repeat itself
360
50
Math: what is sin(x+45)
51
Math: what does this do -f(x)
Reflection in the x axis
52
Maths: what does this do
Reflection in the y axis
53
Math: what is simple interest
54
Math: what is this
The inverse function
55
Math: how do you work out the highest common factor of:
56
Math: how do you work out the lowest common multiple of:
57
Math: what can an arithmetic sequence be represented as
The nth term
58
Math: what is an arithmetic sequence
It is a sequence when the difference between these interpretations values is constant
59
Math: what is a geometric sequence
The next term is found by multiplying the prev by a value
60
Math: what is the mean
The calculates average of the data
61
Math: what is the range
top-bottom
62
Math: what is the median
The middle
63
Math: what is the mode
The most common
64
Math: how do you calculate the interquartile range
Number at 75%- number at 25%
65
Math: how do you calculate the lower quartile (and find what numbers to include)
66
Math: rule for trapesium internal angles, when 2 sides are similar
Opposite sides add to 180 This is yap actiually
67
Math: what is a segment
68
Math: what is a sector
69
Math: what do you do when solving an inequality that is quadratic
Create 2 inequalities based on the 2 solutions, then combine them
70
Math: label a full box plot
71
Math: how do you calculate the interquartile range
72
Math: when the inequality is greater than 0 in quadratic inequalities what should your answer be
2 inequalities
73
Math: when the inequality is less than 0 in quadratic inequalities what should your answer be
One inequality such as 5 < X < 10
74
Math: when solving quad in qualities what should you do
Plot the graph and look at the section it is asking you about
75
Math: when you have more than one inequality what should you write in between them when answering the question
Or
76
Math: what is in the intersection and why