Matte Flashcards

(92 cards)

1
Q
A

10

How well did you know this?
1
Not at all
2
3
4
5
Perfectly
2
Q
A

48

How well did you know this?
1
Not at all
2
3
4
5
Perfectly
3
Q

Uttrykk ved hjelp av summetegn

A
How well did you know this?
1
Not at all
2
3
4
5
Perfectly
4
Q
A
How well did you know this?
1
Not at all
2
3
4
5
Perfectly
5
Q

Uttrykk ved summetegn

A
How well did you know this?
1
Not at all
2
3
4
5
Perfectly
6
Q
A
How well did you know this?
1
Not at all
2
3
4
5
Perfectly
7
Q
A

A:56
B:1/4
C:1/2550

How well did you know this?
1
Not at all
2
3
4
5
Perfectly
8
Q
A
How well did you know this?
1
Not at all
2
3
4
5
Perfectly
9
Q
A
How well did you know this?
1
Not at all
2
3
4
5
Perfectly
10
Q
A
How well did you know this?
1
Not at all
2
3
4
5
Perfectly
11
Q
A
How well did you know this?
1
Not at all
2
3
4
5
Perfectly
12
Q

Bestem taylorpolynomet til funksjonene:

A
How well did you know this?
1
Not at all
2
3
4
5
Perfectly
13
Q

Bestem taylorpolynomet til funksjonene:

A
How well did you know this?
1
Not at all
2
3
4
5
Perfectly
14
Q

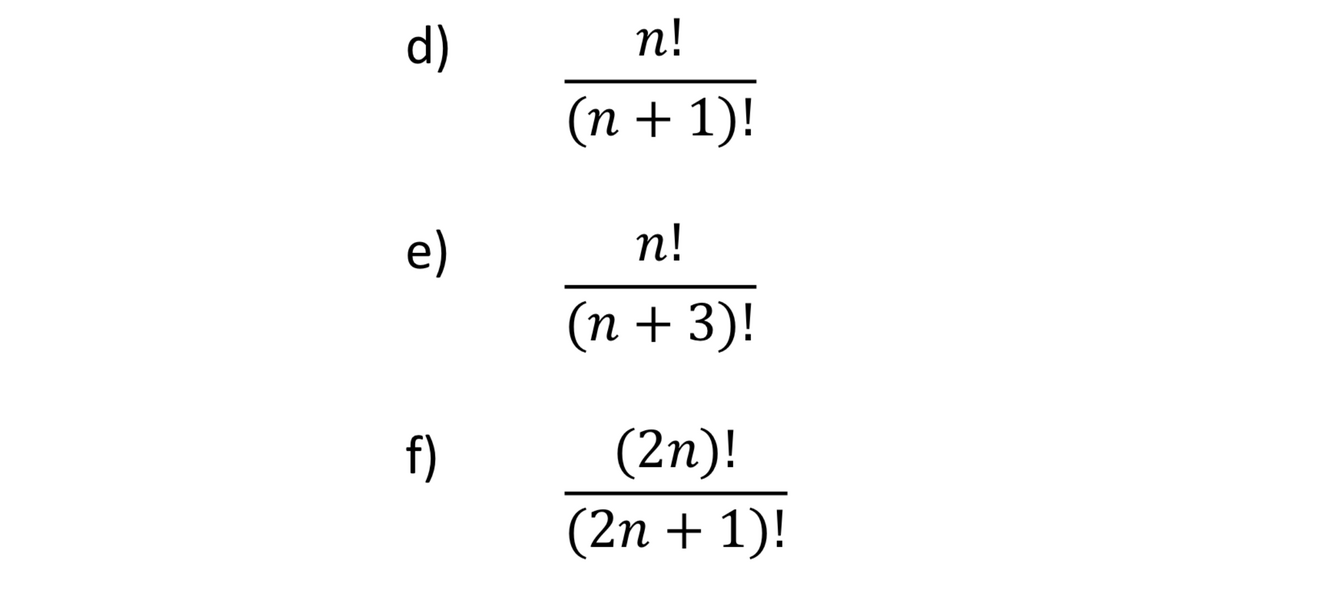
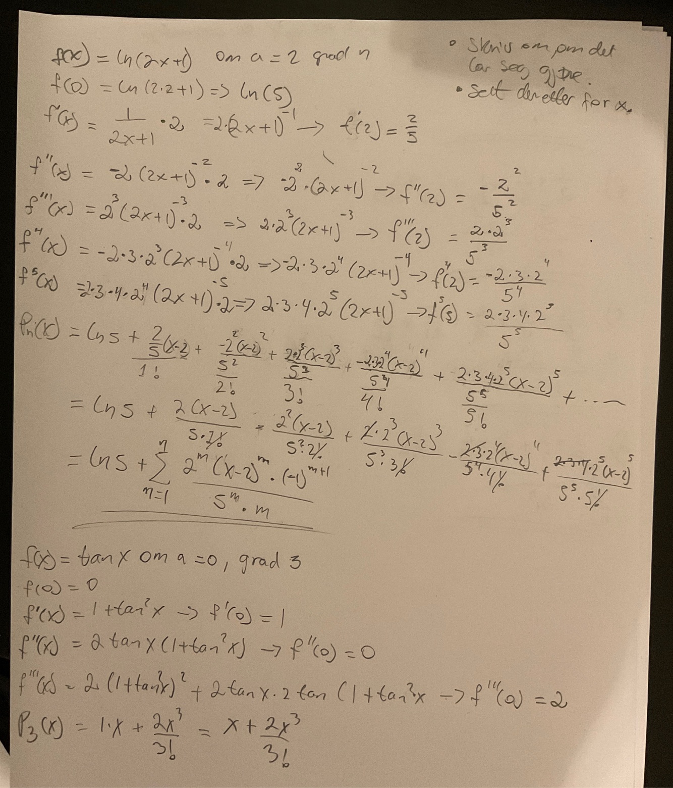
Bestem taylorpolynomet til funksjonene:

A
How well did you know this?
1
Not at all
2
3
4
5
Perfectly
15
Q
A
How well did you know this?
1
Not at all
2
3
4
5
Perfectly
16
Q

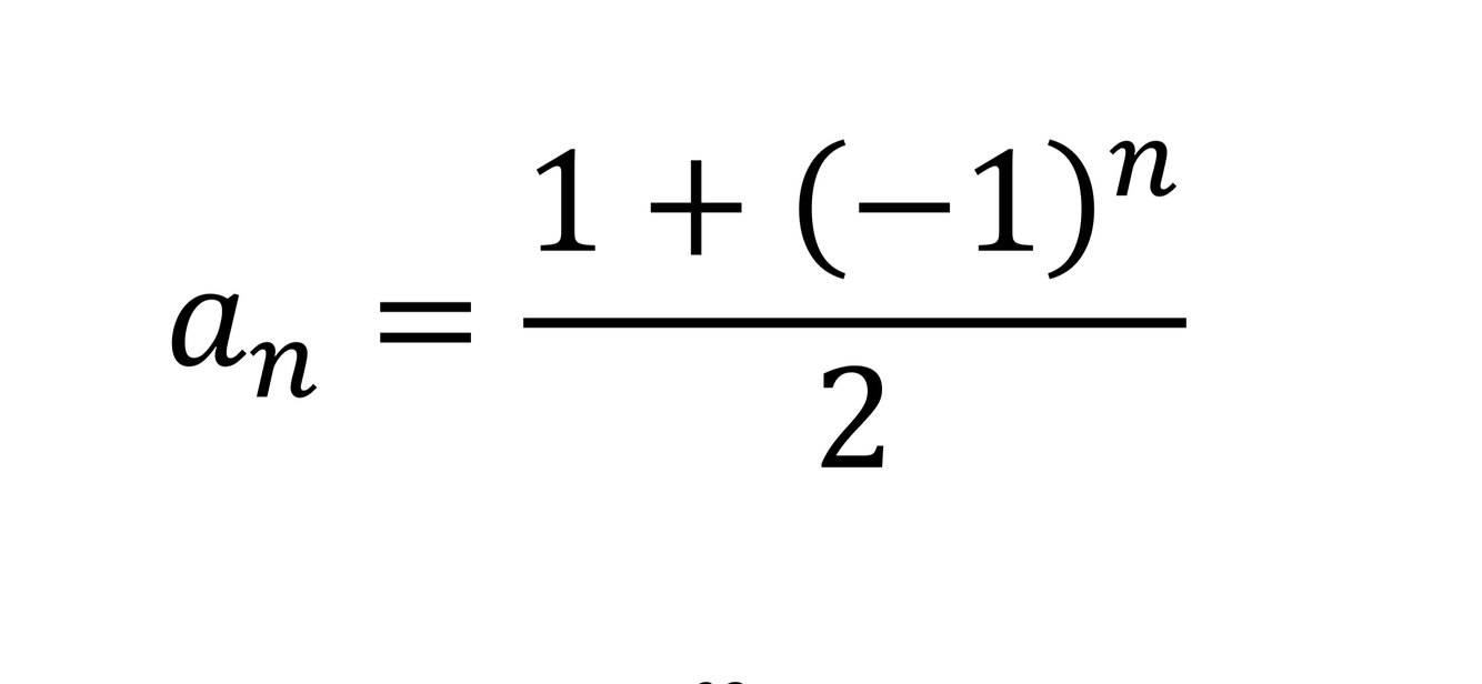
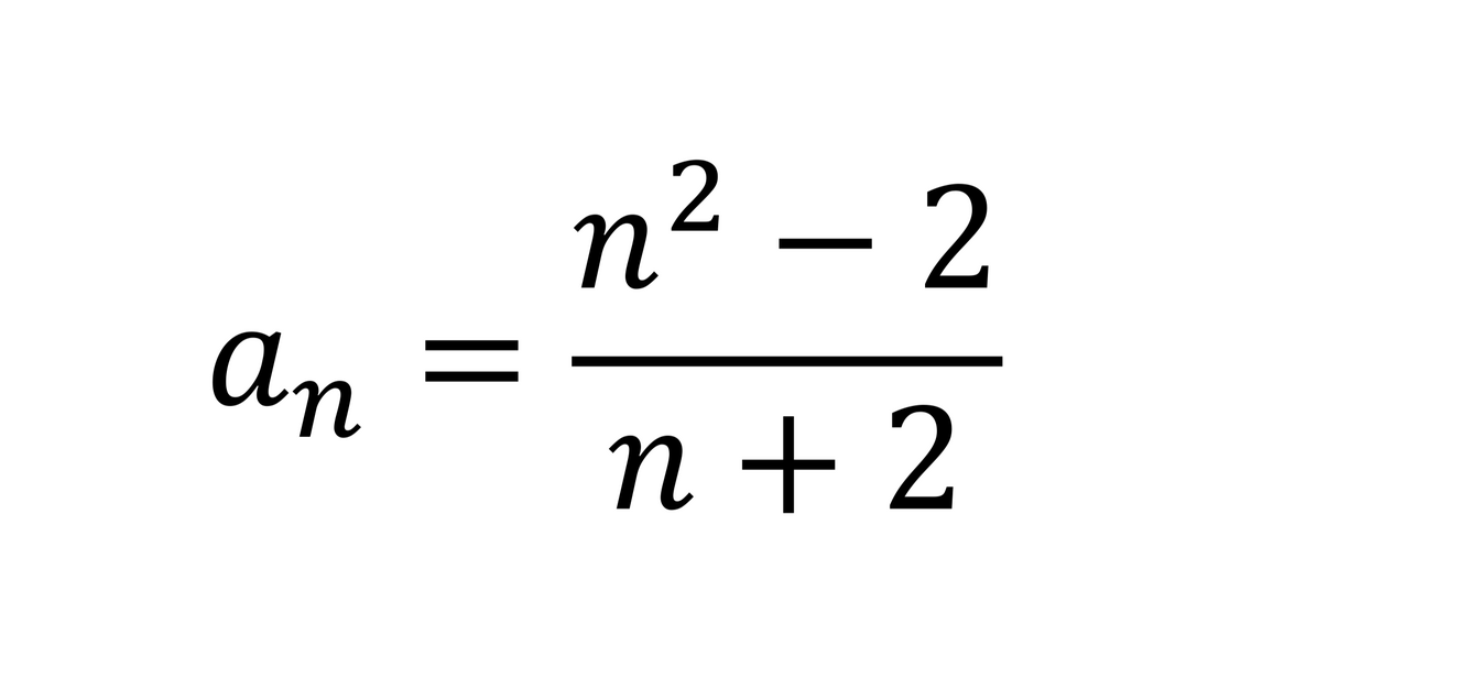
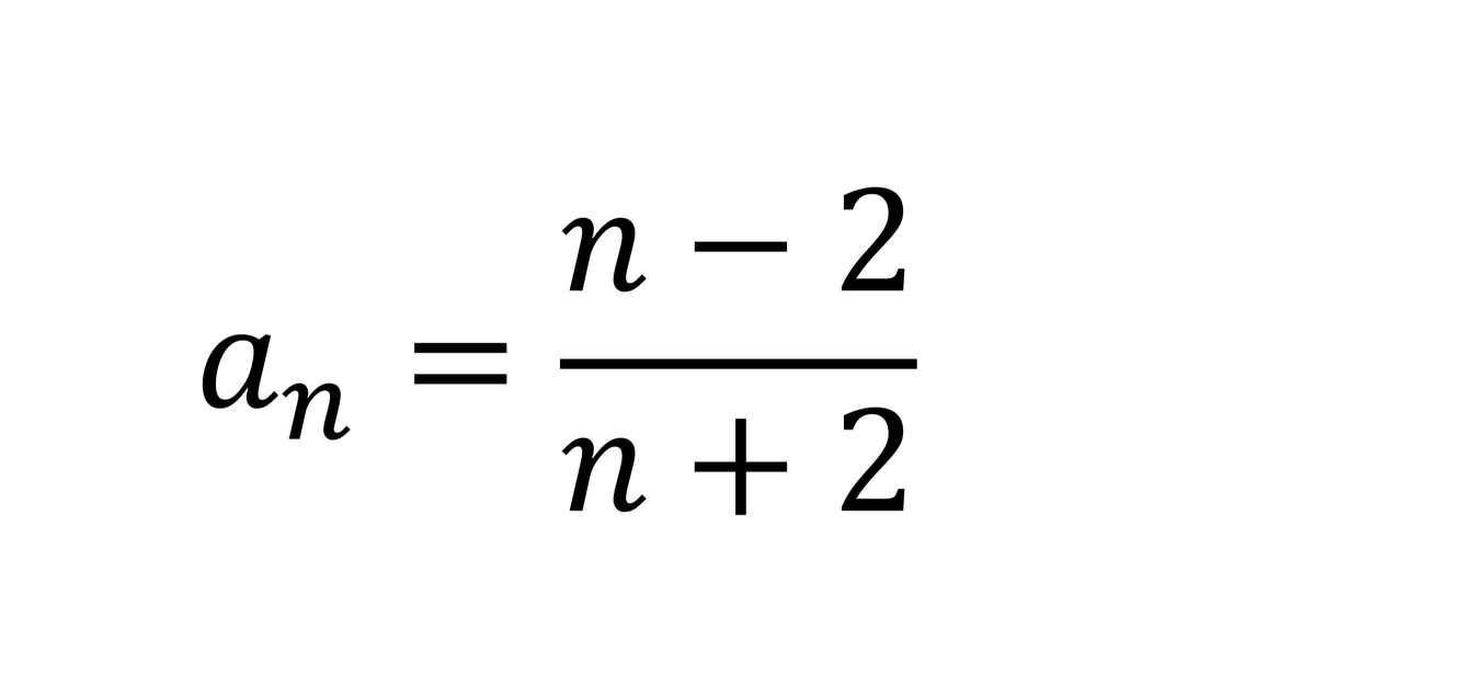
Bestem an for hver tallfølge

Bestem an for hver tallfølge
A
How well did you know this?
1
Not at all
2
3
4
5
Perfectly
17
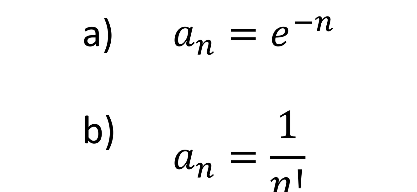
Q

Bestem an for hver tallfølge

A
How well did you know this?
1
Not at all
2
3
4
5
Perfectly
18
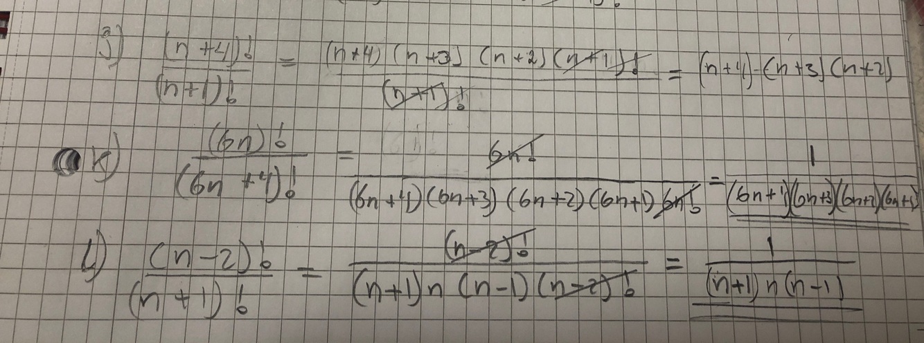
Q

Skriv de 10 første leddene for hver av følgene

A
How well did you know this?
1
Not at all
2
3
4
5
Perfectly
19
Q

Skriv de 10 første leddene for hver av følgene

A
How well did you know this?
1
Not at all
2
3
4
5
Perfectly
20
Q

Skriv de 10 første leddene for hver av følgene

A
How well did you know this?
1
Not at all
2
3
4
5
Perfectly
21
Q

Avgjør om tallfølgene konvergerer eller divergerer

A
How well did you know this?
1
Not at all
2
3
4
5
Perfectly
22
Q

Avgjør om tallfølgene konvergerer eller divergerer

A
How well did you know this?
1
Not at all
2
3
4
5
Perfectly
23
Q

Avgjør om tallfølgene konvergerer eller divergerer

A
How well did you know this?
1
Not at all
2
3
4
5
Perfectly
24
Q

Avgjør om tallfølgene konvergerer eller divergerer

A
How well did you know this?
1
Not at all
2
3
4
5
Perfectly
25
Avgjør om tallfølgene konvergerer eller divergerer
26
Avgjør om tallfølgene konvergerer eller divergerer
27
Avgjør om tallfølgene konvergerer eller divergerer
28
Avgjør om tallfølgene konvergerer eller divergerer
29
Avgjør om tallfølgene konvergerer eller divergerer
30
Avgjør om tallfølgene konvergerer eller divergerer
31
Avgjør om tallfølgene konvergerer eller divergerer
32
Avgjør om tallfølgene konvergerer eller divergerer
33
Bestem om rekker er geometrisk. Dersom rekker er geometrisk , bestem om rekker konvergerer (og hva den konvergerer mot ) eller om den konverger
34
Bestem om rekker er geometrisk. Dersom rekker er geometrisk , bestem om rekker konvergerer (og hva den konvergerer mot ) eller om den konverger
35
Bestem om rekker er geometrisk. Dersom rekker er geometrisk , bestem om rekker konvergerer (og hva den konvergerer mot ) eller om den konverger
36
Bestem om rekker er geometrisk. Dersom rekker er geometrisk , bestem om rekker konvergerer (og hva den konvergerer mot ) eller om den konverger
37
Bestem om rekker er geometrisk. Dersom rekker er geometrisk , bestem om rekker konvergerer (og hva den konvergerer mot ) eller om den konverger
38
39
40
41
42
Finn summen av teleskoprekken
43
44
1.5 Avgjør om rekker konverter eller diverger
45
Avgjør om rekken konvergerer eller diverger
46
Avgjør om rekken konvergerer eller divergerer
47
Avgjør om rekken konvergerer eller divergerer
48
Avgjør om rekken konvergerer eller divergerer
49
Avgjør om rekken konvergerer eller divergerer
50
51
52
53
54
55
56
57
58
59
60
61
62
63
64
65
66
67
Oppgave 1.8.5c
68
69
70
71
72
73
74
75
76
77
78
79
80
Fourier oppgave 3f
81
82
83
84
85
86
87
88
89
90
91
92