Statistikk COPY Flashcards

(15 cards)

1
Q

Modul 6

Hvilket tre kvadratsummer har vi

A
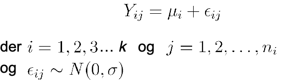
How well did you know this?
1
Not at all
2
3
4
5
Perfectly
2
Q

Modul 6

Redgjør for de tre ulike varians-målene vi får om vi dividerer med antall frihetsgrader knyttet til hver kvadratsum.

A
How well did you know this?
1
Not at all
2
3
4
5
Perfectly
3
Q

Modul 6

Redgjør formelen til F, og hva må vi kjenne til for å avgjøre om F er stor

A
How well did you know this?
1
Not at all
2
3
4
5
Perfectly
4
Q

Modul 6

Hva sier hypoteseten

A
  • H0:
    sier at det ikke er noen gruppeeffekt
  • Alternativhypotesten(H1) ikke sier noe om hvor forskjellene ligger , bare at minst to av gruppeforventningen er ulike.
How well did you know this?
1
Not at all
2
3
4
5
Perfectly
5
Q

modul 6

Hva er en “stor F”

A

Som alltid:
1. Lat som at H0 er sann
2. Da har F en kjent fordeling , og vi kan regne ut sannsynligheten for å få en stor F som den vi fikk ( under H0)
3. Dersom dette er svært usannsynlig , forkaster vi H0

How well did you know this?
1
Not at all
2
3
4
5
Perfectly
6
Q

Modul 6

Variansanalysetabellen (oppsummer)

A
How well did you know this?
1
Not at all
2
3
4
5
Perfectly
7
Q

Modul 6

Hvordan skrives modellen i variansanalyse

A
How well did you know this?
1
Not at all
2
3
4
5
Perfectly
8
Q

Modul 6

Hva er det vi ønsker å teste forskjellen på i variansanalyse ? Og hvordan gjør vi det?

A
  • Vi ønsker å teste om det er forskjell på forventningene eller ikke.
  • Vi setter opp nullhypotese og alternativ hypotese for å
    sammenlikne k grupper/populasjoner
How well did you know this?
1
Not at all
2
3
4
5
Perfectly
9
Q

Modul 6

Hva gjør vi når vi tester hypotesene?

A

Når vi tester hypotesene sammenlikner vi variasjonen
mellom gruppene med variasjonen innen gruppene

How well did you know this?
1
Not at all
2
3
4
5
Perfectly
10
Q

Redgjør for denne formelen

A

La n være totalt antall observasjoner

How well did you know this?
1
Not at all
2
3
4
5
Perfectly
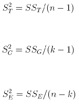
11
Q

Modul 6

Redgjør formelene for de ulike variansene

A
How well did you know this?
1
Not at all
2
3
4
5
Perfectly
12
Q

Modul 6

Redgjør for :
* utvalgs-gjennomsnittet
* Standardavviket
* forventingsrett estimator

A
How well did you know this?
1
Not at all
2
3
4
5
Perfectly
13
Q

Modul 6

Redgjør for formelene for kontrastene

A
How well did you know this?
1
Not at all
2
3
4
5
Perfectly
14
Q

Modul 6

Redgjør for estimator for kontrastene:
* Forventningsrett
* Varians
* Standardfeilen

A
How well did you know this?
1
Not at all
2
3
4
5
Perfectly
15
Q

Modul 6

Redgjør kontraster for Testobservator

A
How well did you know this?
1
Not at all
2
3
4
5
Perfectly