Médias Flashcards

(54 cards)

1
Q

O que é uma medida de posição?

A

Comportamento dos elementos de uma série de dados, orientando quanto a posição da distribuição em relação do eixo horizontal do gráfico.

How well did you know this?
1
Not at all
2
3
4
5
Perfectly
2
Q

As medidas de dispersão pode ser divididas em dois tipos. Quais são?

A

a) medida de posição central
b) medida separatrizes

How well did you know this?
1
Not at all
2
3
4
5
Perfectly
3
Q

O que é uma medida de tendência central?

A

Quando o ponto central ou o valor típico de um conjunto de dados indica onde está localizada a maioria dos valores.

How well did you know this?
1
Not at all
2
3
4
5
Perfectly
4
Q

Quais são as medidas de posição central mais frequentes?

A

Média aritmética, média geométrica, média harmônica, mediana e moda.

How well did you know this?
1
Not at all
2
3
4
5
Perfectly
5
Q

O que é moda e mediana?

A

Moda é o valor que mais aparece no conjunto de dados.
Mediana é a posição central de uma série de observações.

How well did you know this?
1
Not at all
2
3
4
5
Perfectly
6
Q

O que é uma medida separatriz?

A

Aquela que divide a série de distribuição de dados em duas ou mais partes, sendo cada parte com a mesma quantidade de elementos.

How well did you know this?
1
Not at all
2
3
4
5
Perfectly
7
Q

As medidas separatrizes mais utilizadas são:

A

mediana, quartis, percentis, decis…

How well did you know this?
1
Not at all
2
3
4
5
Perfectly
8
Q

O que representa a imagem?

A

A soma dos valores de 𝑥, começando em 𝑥1 e terminando em 𝑥𝑛 .

How well did you know this?
1
Not at all
2
3
4
5
Perfectly
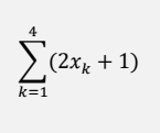
9
Q

O que representa a imagem?

A

A soma dos valores de 𝑥, começando em 𝑥1 e terminando em 𝑥10.

How well did you know this?
1
Not at all
2
3
4
5
Perfectly
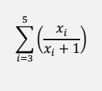
10
Q

O que representa a imagem?

A

A soma dos valores de 𝑥, começando por 𝑥3 e terminando em 𝑥10.

How well did you know this?
1
Not at all
2
3
4
5
Perfectly
11
Q

O que representa a imagem?

A

A soma dos valores de 𝑥, começando por 𝑥1 e terminando em 𝑥𝑛.

How well did you know this?
1
Not at all
2
3
4
5
Perfectly
12
Q

O que representa a imagem?

A

A soma dos quadrados dos valores de 𝑥, começando em 𝑥1 e terminando em 𝑥n.

How well did you know this?
1
Not at all
2
3
4
5
Perfectly
13
Q

O que representa a imagem?

A
How well did you know this?
1
Not at all
2
3
4
5
Perfectly
14
Q

O que representa a imagem?

A
How well did you know this?
1
Not at all
2
3
4
5
Perfectly
15
Q

CERTOU OU ERRADO:

O produto das somas é a mesma coisa que a soma dos produtos.

A

ERRADÍSSIMO!

No produto das somas, primeiro somamos a sequência de um elemento e depois a do outro e então somamos o resultado das duas.
Na soma dos produtos, somamos um elemento com o outro.

How well did you know this?
1
Not at all
2
3
4
5
Perfectly
16
Q

De acordo com as propriedades dos somatórios, o que quer dizer a imagem?

A

O somatório de uma constante 𝒌 é igual ao produto do número de termos pela constante.

How well did you know this?
1
Not at all
2
3
4
5
Perfectly
17
Q

De acordo com as propriedades dos somatórios, o que quer dizer a imagem?

A

O somatório do produto de uma constante por uma variável é igual ao produto da constante pelo somatório da variável.

How well did you know this?
1
Not at all
2
3
4
5
Perfectly
18
Q

De acordo com as propriedades dos somatórios, o que quer dizer a imagem?

A

O somatório de uma soma ou subtração é igual à soma ou à subtração dos somatórios dessas variáveis.

How well did you know this?
1
Not at all
2
3
4
5
Perfectly
19
Q

Dado conjunto A = {3,12,16,36}, qual será a média geométrica desse conjunto?

A

Há dois métodos.
1° método: multiplicação dos elementos pela raiz da quantidade de elementos.
3 x 12 x 16 x 36 = 20.736
4√20.736 = 12

2° método: fatoração de todos os elementos (na imagem).

How well did you know this?
1
Not at all
2
3
4
5
Perfectly
20
Q

A imagem representa uma:

A

média aritmética.

How well did you know this?
1
Not at all
2
3
4
5
Perfectly
21
Q

PARA LEMBRAR:

Sempre que a questão não especificar qual o tipo de média, faremos o cálculo da média aritmética.

A

.

How well did you know this?
1
Not at all
2
3
4
5
Perfectly
22
Q

Quais as características da média aritmética?

A

1) ela preserva a soma dos elementos da lista de números;
2) é obtida pelo quociente entre a soma de todos os elementos de um conjunto e quantidade de elementos nele existentes

23
Q

CERTO OU ERRADO

Se em um conjunto de elementos com 𝒏 ≥ 𝟏 elementos, a média aritmética sempre existirá.

24
Q

PARA FIXAR

Propriedades da média aritmética:

A média aritmética x̅ de um conjunto de dados satisfaz a expressão 𝒎 ≤ x̅ ≤ 𝑴, em que 𝒎 e 𝑴 são, respectivamente, os elementos que representam o valor mínimo e o valor máximo do conjunto.

ou seja, a média sempre será maior que o valor mínimo e sempre menor que o valor máximo

25
CERTO OU ERRADO Somando-se (ou subtraindo-se) uma constante 𝒄 de todos os valores de uma variável, a média do conjunto fica aumentada (ou diminuída) dessa constante.
CERTO! Ex: Dado A = 6, 12, 20, 24. Média aritmética = 15,5. Se diminuirmos ou aumentarmos os valores do conjunto em 2, a média aumentará ou diminuirá em 2.
26
CERTO OU ERRADO Multiplicando-se (ou dividindo-se) uma constante c de todos os valores de uma variável, a média do conjunto fica multiplicada (ou dividida) por esta constante.
CERTO! O mesmo pensando de constante de soma e subtração para média aritmética, vale para a divisão e multiplicação.
27
O que é o desvio em relação a média?
Elemento da sequência subtraído da média aritmética.
28
Qual soma algébrica dos desvios em relação à média?
É nula.
29
A soma dos quadrados dos desvios da sequência de números {𝒙𝒊}, em relação a um número 𝒂, é _mínima_ se 𝒂 for a:
média aritmética dos números.
30
A soma dos quadrados dos desvios da sequência de números {𝒙𝒊}, em relação a um número 𝒂, é mínima se 𝒂 for:
a média aritmética dos números. *Essa propriedade afirma que, caso os desvios sejam calculados com relação a um número diferente da média, e os resultados de tais desvios sejam elevados ao quadrado e somados, teremos um número necessariamente maior do que obteríamos caso a mesma operação fosse realizada utilizando-se a média.*
31
O que é a média ponderada?
A média ponderada leva em conta o peso de cada elemento e a divisão será pela soma dos pesos dos elementos e não pela quantidade de elementos como na média aritmética. Ex: Conjunto A = 2, 6, 18, 24 2 tem peso 4, 6 tem peso 2, 18 e 24 tem peso 1. (2x4 + 6x2 + 18x1+ 24x1) ÷ (4+2+1+1) 8 + 12 + 18 + 24 = 62 ÷ 8 = 7,75
32
**PARA FIXAR** A média ponderada é calculada pela igualdade a seguir, em que 𝑝 é o peso de cada valor de 𝑥. Observe que no numerador cada valor será multiplicado pelo seu respectivo peso, enquanto no denominador teremos a soma de todos os pesos.
33
Calcule a média ponderada da tabela.
5 x 1100 = 5500 16 x 2000 = 32000 3 x 5500 = 16500 1 x 12500 = 12500 SOMA = 66.500 66.500 ÷ (5 + 16 + 3 + 1) 66.500 ÷ 25 = **2660** *veja que a quantidade é referente ao peso, então a divisão será a soma do peso dos elementos*
34
Um candidato prestou um concurso público para o cargo de Auditor Fiscal, alcançando as notas do quadro esquerdo da imagem. O edital desse concurso previa que algumas disciplinas teriam importância maior do que outras, por isso foram atribuídos pesos diferentes às várias disciplinas, distribuídas no quadro direito da imagem. O candidato deveria alcançar uma nota 7,0 ou superior na prova objetiva para que fosse convocado para a etapa discursiva. Para sabermos se o candidato será convocado devemos fazer a média pondera a partir dos dados da imagem. Com os devidos dados, o candidato seria convocado?
Não! O candidato atingiu 6,53.
35
Em Estatística, como podem ser classificados os dados?
Em agrupados e não-agrupados.
36
Normalmente, logo após a etapa de coleta, qual o tipo de dados de se tem?
Não-agrupados ou dados brutos.
37
Os dados agrupados são aqueles que passaram por algum nível de _______, o que significa que já não são ______.
análise / brutos
38
Os dados agrupados podem ser organizados de duas formas. Quais?
Por frequências de um determinado valor ou por intervalos de classes
39
De que forma serão organizados os dados agrupados organizados por frequência de valor?
De forma ascendentes com as ocorrências contabilizadas.
40
De que forma serão organizados os dados agrupados organizados por intervalo de classes?
De forma ascendente, porém, de forma preestabelecida.
41
Como calcular a média aritmética dos dados agrupados, de acordo com a tabela da imagem?
Temos que calcular a média dos pontos extremos do intervalo, primeiramente.
42
Qual a média geométrica dos números 4, 20 e 100?
**A resposta é 20**. É a raiz cúbica da multiplicação dos três números. Raiz cúbica porque é a quantidade de elementos (4, 20 e 100). *4, 20 e 100 pode ser fatorado também, ficando igual o exemplo da imagem*
43
Somente definimos a média geométrica para números:
positivos ou não-negativos.
44
Há possibilidade de definirmos uma média geométrica com números negativos?
NÃO!
45
A média harmônica é muito utilizada quando precisamos trabalhar com grandezas:
inversamente proporcionais.
46
**PARA FIXAR** A média harmônica é definida, para o conjunto de números positivos, como o inverso da média aritmética dos inversos. A propriedade principal dessa média é preservar a soma dos inversos dos elementos de um conjunto de números.
47
Somente definimos a média harmônica para números:
positivos ou não-negativos.
48
Para encher um tanque, uma torneira leva 12 horas. Para encher esse mesmo tanque, outra torneira leva 6 horas. Caso as duas torneiras fossem abertas ao mesmo tempo, quanto tempo elas levariam para encher o tanque?
49
**PARA FIXAR** Sobre a média harmônica, podemos afirmar que: I – ela preserva a soma dos inversos de uma lista de números; II – ela é definida como o inverso da média aritmética dos inverso.
50
É possível calcular a média geométrica de 1 e -1?
NÃO! A soma dos inversos resultaria em zero e, como sabemos, a divisão por zero é impossível de ser calculada.
51
Qual a média geométrica dos números 4, 20 e 100?
20.
52
CERTO OU ERRADO A média aritmética sempre será maior que a média harmônica e a média harmônica.
CERTO!
53
CERTO OU ERRADO A média harmônica sempre será maior que a média geométrica.
ERRADO! A média harmônica sempre será menor que a média geométrica.
54