Moda Flashcards

(33 cards)

1
Q

O que é a moda?

A

O valor que mais aparece na distribuição. É uma medida de posição e de tendência central.

How well did you know this?
1
Not at all
2
3
4
5
Perfectly
2
Q

CERTO OU ERRADO

A moda são valores que aparecem com mais frequência, seja de forma quantitativa ou qualitativa.

A

CERTO!

How well did you know this?
1
Not at all
2
3
4
5
Perfectly
3
Q

A moda é sensível aos outliers?

A

NÃO!

How well did you know this?
1
Not at all
2
3
4
5
Perfectly
4
Q

A empresa Amarone, que está ganhando bastante dinheiro no mercado de alimentos, possui 23 funcionários. 19 desses 23 funcionários ganham R$ 1600. Tiago, auditor fiscal do município de João Pessoa e sócio capitalista, recebe R$ 30.000 por mês. Tomás, sócio e administrador, recebe R$ 45.000. Almir e Maria Clara, fundadores da empresa, ganham R$ 70.000 juntos.

Qual a moda de valores dos salários da Amarone?

A

R$ 1600, que é o valor que mais frequente na distribuição.

How well did you know this?
1
Not at all
2
3
4
5
Perfectly
5
Q

É possível haver duas modas em uma distribuição?

A

SIM!

How well did you know this?
1
Not at all
2
3
4
5
Perfectly
6
Q

Responda qual a moda de acordo com a distribuição abaixo.

2 2 4 4 4 4 4 6 6 7 7 7 8 8 9 9 9 9 9

A

As modas são 4 e 9. Ambos aparecem 5 vezes

2 2 4 4 4 4 4 6 6 7 7 7 8 8 9 9 9 9 9.

How well did you know this?
1
Not at all
2
3
4
5
Perfectly
7
Q

Como é o nome da moda que possui dois valores?

A

Bimodal.

How well did you know this?
1
Not at all
2
3
4
5
Perfectly
8
Q

É possível haver três modas em uma distribuição?

A

NÃO! Nem três, nem mais que três. A partir de três, NÃO TEM MODA.

How well did you know this?
1
Not at all
2
3
4
5
Perfectly
9
Q

Responda a moda de acordo com a distribuição abaixo.

1 2 2 3 3 3 4 4 5 5 5 6 6 9 9 9

A

Não há moda, pois há três valores com mais frequência, o 3, o 5 e o 9.

How well did you know this?
1
Not at all
2
3
4
5
Perfectly
10
Q

Como é chamada a distribuição que não possui uma moda?

A

Distribuição amodal.

How well did you know this?
1
Not at all
2
3
4
5
Perfectly
11
Q

Qual a moda da distribuição abaixo?

A

30, pois é a frequência que mais aparece, 10 vezes.

How well did you know this?
1
Not at all
2
3
4
5
Perfectly
12
Q

Responda a questão.

A

Letra E.

A moda nota-se claramente que é 9, já descartamos a letra A. A média é a multiplicação dos valores com suas frequências, dividido pela soma de frequências, que é 27. A média então é 189÷27=7.

How well did you know this?
1
Not at all
2
3
4
5
Perfectly
13
Q

O que é uma moda bruta?

A

O ponto médio da classe modal, que é a classe de maior frequência.

How well did you know this?
1
Not at all
2
3
4
5
Perfectly
14
Q

O que é a classe modal?

A

O intervalo de maior frequência.

How well did you know this?
1
Not at all
2
3
4
5
Perfectly
15
Q

Qual a classe modal da distribuição da imagem?

A

A classe modal é o intervalo que vai 74 até 78.

How well did you know this?
1
Not at all
2
3
4
5
Perfectly
16
Q

CERTO OU ERRADO:

A moda da distribuição da imagem é algum número entre 74 e 78.

A

ERRADO! A moda grupada é de 74 até 78, mas como os dados estão agrupados, não dá para afirmar que o valor de maior frequência estará dentro dessa classe.
Ex: no intervalo de 78 até 82, podem ter 12 números 77. Na classe de 74 à 78 podem ter 8 números 75, 6 números 76 e 5 números 77.

17
Q

A moda bruta pode dar garantia de exatidão da moda?

18
Q

Numa moda bruta, é possível definir o valor da moda?

19
Q

Qual a moda bruta da distribuição da imagem?

A

A moda bruta é o ponto médio da classe modal, ou seja, o ponto médio entre 74 e 78.

A resposta é 76.

20
Q

CERTO OU ERRADO:

A partir da classe modal, conseguimos definir o valor exato da moda.

A

ERRADO! Não conseguimos nunca.

21
Q

CERTO OU ERRADO:

A partir da moda grupada, saberemos a moda.

22
Q

No que consiste o método de czuber?

A

É um método que tenta aproximar o valor da moda a partir da classe modal.

23
Q

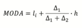
Qual a fórmula utilizada no método de czuber para achar o valor aproximado da moda?

A

li = limite inferior da classe modal
▲1 = diferença entre a frequência da classe modal e a frequência da classe anterior
▲2 = diferença entre a frequência da modal e a frequência da classe posterior
h = amplitude da classe modal

24
Q

Calcule o valor aproximado da moda, utilizando o método de czuber, de acordo com a distribuição grupada da imagem.

A

Como a moda bruta é 76 e a frequência posterior (13) é maior do que a anterior (7), a moda vai ser puxada pra cima, no caso 76,666…se a frequência anterior fosse maior, puxaria a moda para baixo, então a moda seria inferior a 76.
a moda bruta não calcula a moda exata

25
Outro método para se aproximar da moda é o Método de King, que deve ser calculado pela fórmula:
li = limite inferior Fpost = frequência posterior Fant = frequência anterior h = amplitude
26
CERTO OU ERRADO: A moda não fica na última classe.
ERRADO! Não há como afirmar isso.
27
CERTO OU ERRADO: 10 |------ 30 O intervalo acima nos diz que classe modal vai do incluem o número 10 e os números até o 30, incluindo o 30.
ERRADO! Diz que a classe modal vai de 10 à 29.
28
CERTO OU ERRADO: Se uma distribuição usar uma amplitude diferente, no caso, em que cada classe possua uma amplitude diferente, se isso acontece, não pode usar a frequência como base.
CERTO! Usa-se a densidade de frequência.
29
O que é a densidade de frequência?
A divisão da frequência pela amplitude.
30
Calcule a densidade de frequência da tabela.
*após usar a frequência para calcular a densidade de frequência, elimina a frequência pois ela não vai ser utilizada para nada.
31
Qual a classe modal da tabela?
É de 55 até 60 (55|----60). *A classe modal é verificada a partir da densidade, não esquecer.*
32
Quantas propriedades básicas possui a moda?
Duas.
33
Quais são as duas propriedades básicas da moda?
1) Somando-se (ou subtraindo) uma constante ᴄ a todos os valores de uma variável, a moda do conjunto fica aumentada (ou diminuída) dessa constante. 2) Multiplicando-se (ou dividindo-se) todos os valores de uma variável por uma constante ᴄ, a moda do conjunto fica multiplicada (ou dividida) por essa constante.