Drug Metabolism
The process of enzymatic biotransformation of drugs.
Why is it beneficial to have a parent drug metabolized to multiple metabolites?
Reduces the likelihood that a metabolite will be toxic.
Enterocytes
The cells that line the intestinal lumen. They have families of drug transporters and drug metabolising enzymes that act to promote or reduce absorption of a given drug into the portal circulation.
Describe the route of an orally administered drug to get to the systemic circulation.

Define Pre-Systemic Metabolism
Also referred to as the first-pass effect. Metabolism of the drug by enzymes in the enterocytes or hepatocytes before it can enter the systemic circulation and travel to the site of action.
Define bioavailability
The fraction of an oral dose that reaches the systemic circulation.
Explain why we want to avoid first pass metabolism.
Describe Central Vein
Where the drug (or metabolite if drug was metabolized in liver) exit the liver and go into the systemic circulation.
Define Hepatic Clearance
Refers to when a drug is converted to a metabolite in the liver. Bile Canaliculus and hepatic vein are the two ways a drug and its metabolite can exit the liver.
Define Bile Canaliculus
hepatocytes are always bordered by a bile canaliculus. These are responsible for transporting molecules that enter back in the GI tract for excretion into the feces. Is a very selective process.
What are Phase II reactions?
generate highly polar derivatives known as conjugates of drugs and metabolites of drugs. combined in covalent reactions with endogenous hydrophilic compounds. There are three kinds: glucuronidation, SULTs, and GSH conjugation to mercapturic acid formation.
Glucuronidation.
microsomal enzyme. polar group on drug/metabolite + UDPGA –> glucuronidated drug/metabolite + UDPG. UDPGA is a co-substrate. get inversion at oxygen (R-O-R’) group and the oxygen on the product glucoronide is from the original metabolite/drug.

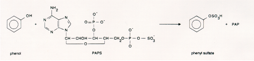
SULTs
substrate is phenolic drugs/metabolites. co-factor is PAPS which is converted to PAP and recycled back to PAPS.
add a -SO3H group onto phenol but at physiological pH the hydrogen is removed forming highly polar compounds.

Glutathione conjugation to mercapturic acid
Glutathione (GSH) is the substrate and reacts with drug/metabolite directly or via GSTs. Attack electrophilic sites on drug/metabolite.
Usually seen when deactivating reactive groups like epoxides, quinones and halides.
Rarely excreted as glutathione conjugates but instead are converted to mercapturic acid conjugates and then excreted.

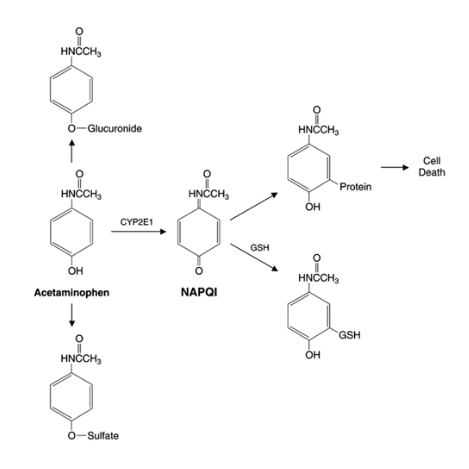
APAP metabolism
glucuronidation and SULTs are major elimination pathways. Also have CYP2E1 that converts APAP to NAPQI which is a highly reactive electrophile. GSH reacts with NAPQI to form mercapturine and excretion. But if GSH levels are saturated NAPQI will start reacting with proteins and cell death will occur. Alcohol induces CYP2E1 that is why you never take APAP and alcohol.

P450 Structure
ER membrane bound. heme prosthetic group is the catalytic center of the enzyme. active site of the enzyme is located in a hydrophobic region in interior (makes sense because most drugs are hydrophobic).
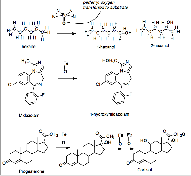
Monooxygenation
P450 catalyzed reaction where molecular oxygen is bound by heme group and one oxygen eventually is incorporated into the substrate and the other is converted to water.

Metabolic Specificity of P450s
defines which molecules are accepted as substrates by a particular P450 (substrate selectivity) and what site or sites on a particular molecule are oxidized by a particular P450 (product profile)
P450 Reactions (5 reactions)
Oxidation of sp3 carbon-hydrogen bonds, O-dealkylation, N-dealkylation, oxidation of sp2 carbon-carbon bonds, oxidtion of double bonds in aromatic systems to make arene oxides and phenols.
Oxidation of sp3 carbon hydrogen bonds
formation of alcohol.
omega -1 carbon more susceptible to hydroxylation vs. the omega carbon.

O-dealkylation
cleave alkyl ethers to form alcohols
hemiacetal intermediate
often alcohol products are a substrate for GTs.

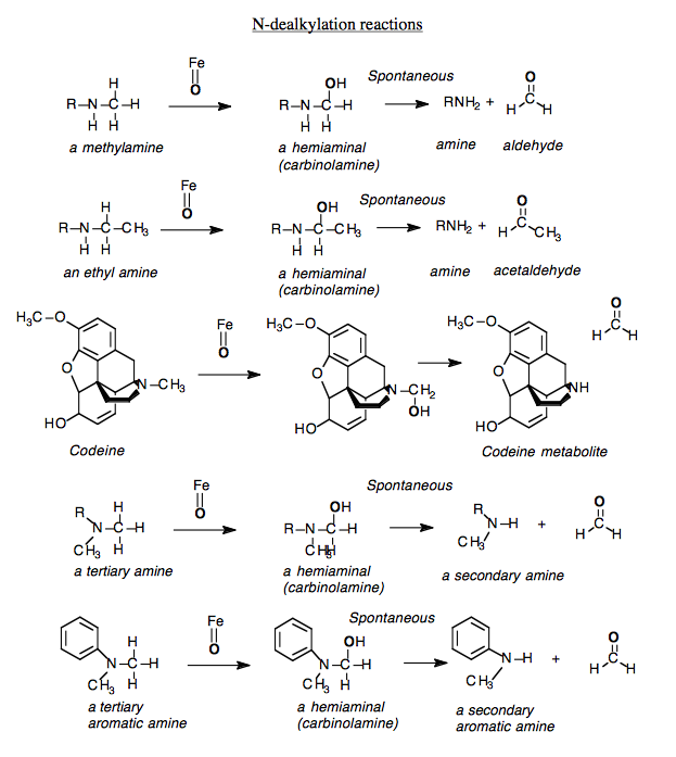
N-dealkylation
cleave alkyl groups from alkylamines to make amine and aldehyde/ketone fragment.
carbinolamine intermediate

Oxidation of sp2 carbon-carbon bonds
isolated carbon-carbon bond oxidation to give epoxides.
epoxides are unstable, electrophilic and sometimes toxic.
eventually reacts with water to give diol through enzymes called epoxide hydrolases.

Oxidation of double bonds in aromatic systems to make phenols
intermediate is an epoxide in an aromatic ring and is called an arene oxide.
arene oxide rapidly rearranged by NIH shift to phenol.
