Convert the angle 13°38’35” to decimal degrees, and round to the nearest hundredth of a degree. (2 points)
4. 13.64°
Convert 17.47° to degrees, minutes, and seconds. (2 points)
3. 17°28’12”
Convert 36° from degrees to radians.
π/5
Convert the radian measure to degree measure. Use the value of π found on a calculator, and round answers to two decimal places. (2 points)
9π/12
1. 135°
Use the arc length formula and the given information to find s. Show your work for full credit. (2 points)
r = 20 ft θ¸ = 19° s = ?
Θ = 19°
Θ = 19° * π/180
Θ = 19π/180
s=rΘ
s=(20ft)(19π180)
s=380π180
s=19π9
s=2.11π
Find the exact values of sin A and cos A. Write fractions in lowest terms. (2 points)

4. sin A = 4/5 ; cos A = 3/5
An acute angle θ is in a right triangle with sin θ = 2/3. What is the value of cot θ? (3 points)
√5/2
An acute angle θ is in a right triangle with cos θ = 9/10. What is the value of sec θ? (2 points)
10/9
Solve for x. Round your answer to two decimal places. Show your work for full credit. (3 points)

sinΘ=opp/hyp
sin(30°)=10x
x=10sin(30°)
x=100.5
x=20
Is the function cot t positive or negative in Quadrant II? (3 points)
Positive
Negative
Negative
Find the measures of two angles, one positive and one negative, that are coterminal with π/5 . (2 points)
11π/5; -9π/5
Evaluate sin 60° without using a calculator by using ratios in a reference triangle. (3 points)

Determine the sign of sin 5π/4 without using a calculator. (2 points)
Negative
Find the value of cos θ for the angle shown. (2 points)
cos θ = 4/7
The point P(21, 28) is on the terminal side of θ. Evaluate sin θ. (3 points)
2. 4/5
Choose the point on the terminal side of -45°. (2 points)
2. (4, -4)
Find the point on the terminal side of θ = -3π/4 that has an x coordinate of -1. Show your work for full credit. (3 points)

Find the amplitude of y = -2 sin x. (2 points)
2
Describe the transformations required to obtain the graph of the function f(x) from the graph of the function g(x).
f(x) = 4 cos x ; g(x) = cos x
1. Vertical stretch by a factor of 4
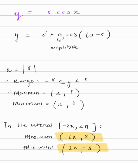
Identify the maximum and minimum values of the function y = 8 cos x in the interval [-2π , 2π]. Use your understanding of transformations, not your graphing calculator. (3 points)

Analyze the function f(x) = sec 2x.
Include:

From a boat on the lake, the angle of elevation to the top of a cliff is 26°1’. If the base of the cliff is 205 feet from the boat, how high is the cliff (to the nearest foot)? (2 points)
4. 100 ft
From a balloon 760 feet high, the angle of depression to the ranger headquarters is 89°18’. How far is the headquarters from a point on the ground directly below the balloon (to the nearest foot)? (3 points)
9 ft