Find sin θ if cot θ = - 2 and cos θ < 0. (2 points)
√5/5
Use basic identities to simplify the expression. (2 points)
cos θ - cos θ sin2θ
3.cos3θ
Use basic identities to simplify the expression. (2 points)
1/cot2θ+ sec θ cos θ
sec2θ
Simplify the expression. (2 points)
(csc2x sec2x)
÷
(sec2 x + csc2x)
4. 1
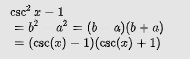
Factor the algebraic expression below in terms of a single trigonometric function.
csc 2x - 1

Find all solutions in the interval [0, 2π).
cos2x + 2 cos x + 1 = 0
x = π
Find all solutions in the interval [0, 2π).
(sin x)(cos x) = 0
0, π/2; π, 3π/2
Find all solutions to the equation.
cos2x + 2 cos x + 1 = 0
cos2x + 2cosx + 1 = 0
(cosx + 1)2 = 0
cosx + 1 = 0
cosx = -1
x = π + 2πn
Find an exact value:
sin(11π/12)
(√6 - √2)/4
Find an exact value:
cos (19π/12)
(√6 - √2)/4
Write the expression as either the sine, cosine, or tangent of a single angle. (2 points)
sin 48° cos 15° - cos 48° sin 15°
4. sin 33°
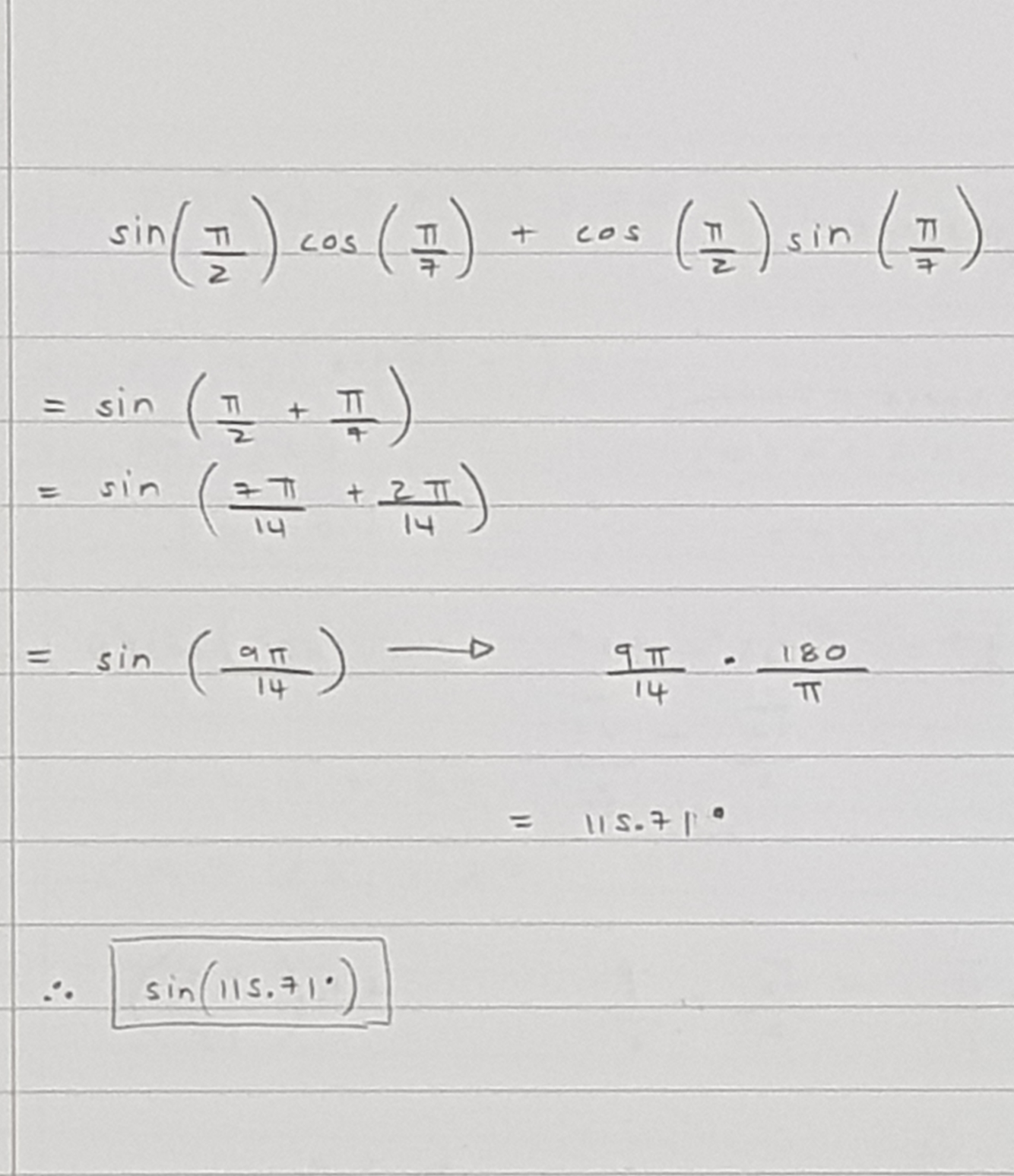
Write the expression as either the sine, cosine, or tangent of a single angle:
sin (π/2)cos(π/7) + cos(π/2)sin(π/7)

Find an exact value. (2 points)
cos 15°
√6 +√2
÷
4
Write the expression as either the sine, cosine, or tangent of a single angle. (2 points)
sin 48° cos 15° - cos 48° sin 15°
4. sin 33°
Find all solutions to the equation in the interval [0, 2π). (3 points)
cos 4x - cos 2x = 0
0, π/3, 2π/3, π, 4π/3, 5π/3
Rewrite with only sin x and cos x. (3 points)
sin 3x
2 cos2x sin x + sin x - 2 sin3x
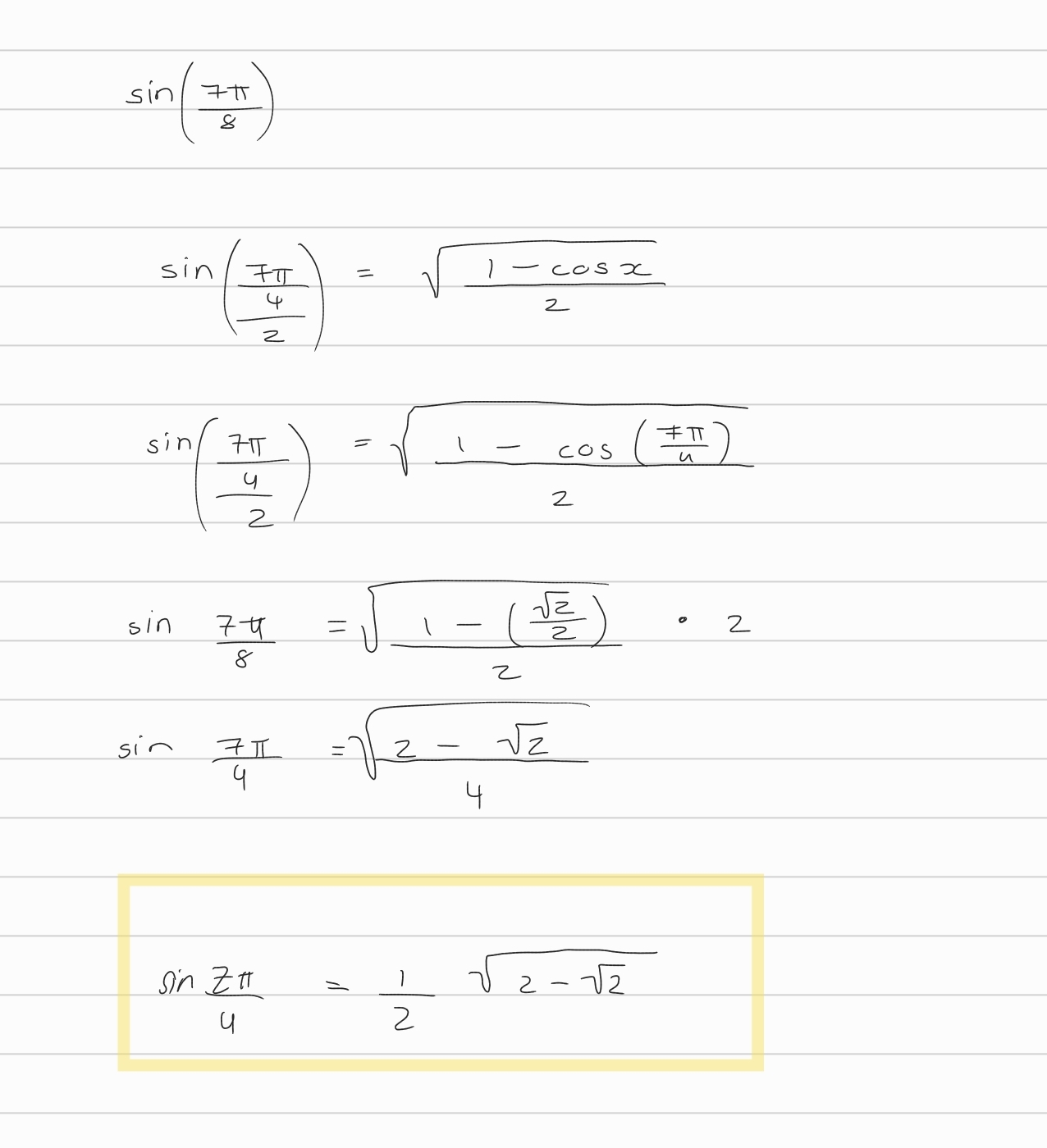
Find the exact value by using a half-angle identity: sin(7π/8)

.
Find cot θ if csc θ = √17/4 and tan θ > 0.
1/4
Simplify the expression: cot x sin x - sin (π/2 - x) + cos x (1 point)
1. cos x
Find tan θ if sec θ = √37/6 and sin θ < 0
-1/6
Find all solutions in the interval [0, 2π). (1 point)
sec2x - 2 = tan2x
No solution
Find all solutions to the equation. (1 point)
sin x = √3/2

Find an exact value: sin (-11π/12)
(√2 - √6)
÷
4
Write the expression as the sine, cosine, or tangent of an angle. (1 point)
sin 9x cos x - cos 9x sin x
3. sin 8x