Module 2: Textbook Flashcards

(22 cards)

1
Q

frequency table

In terms of levels

A

a table showing levels of a variable together with the frequency associated with each level.

How well did you know this?
1
Not at all
2
3
4
5
Perfectly
2
Q

Bimodal

A

A bimodal distribution is one with two equal or approximately equally high value frequencies. Note that a distribution with two distinct peaks is not considered bimodal unless the peaks are very nearly equal.

How well did you know this?
1
Not at all
2
3
4
5
Perfectly
3
Q

Multimodal

A

A multimodal distribution is one with multiple, approximately equal peaks. A bimodal distribution could be considered as a special case of a multimodal distribution.

How well did you know this?
1
Not at all
2
3
4
5
Perfectly
4
Q

Skewness in data is a result of

A

Having outliers in the data, i.e., data values that have the effect of extending the tail of the distribution in one direction or the other.

How well did you know this?
1
Not at all
2
3
4
5
Perfectly
5
Q

Negative skew happens when the mass of the distribution is concentrated on the —- of the figure. It has relatively few — values. The distribution is said to be —skewed or negatively skewed.

A
  • right
  • low
  • left
How well did you know this?
1
Not at all
2
3
4
5
Perfectly
6
Q

Positive skew happens when the mass of the distribution is concentrated on the — of the figure. It has relatively few —- values. The distribution is —skewed or positively skewed.

A
  • left
  • high
  • right
How well did you know this?
1
Not at all
2
3
4
5
Perfectly
7
Q

Skewness can also be a result of either a——

A

floor effect or a ceiling effect

How well did you know this?
1
Not at all
2
3
4
5
Perfectly
8
Q

A floor effect (3)

piles on+results in+ex

A

occurs when values pile up against some lower limit, resulting in a positive skew, for example, as in the case of an exam that is too difficult for the target population.

How well did you know this?
1
Not at all
2
3
4
5
Perfectly
9
Q

A ceiling effect

piles on+results in+ex

A

occurs when values pile up against some upper limit, resulting in a negative skew, for example, as in the case of an exam that is too easy so that most testers score very high.

How well did you know this?
1
Not at all
2
3
4
5
Perfectly
10
Q

In the example above, notice how the —- and — are “pulled” to one side of the peak in the direction of the skew. Both are affected by extreme values in the distribution; the — is the most sensitive to outliers, or extreme values, in a distribution.

A
  • median
  • mean
  • mean
How well did you know this?
1
Not at all
2
3
4
5
Perfectly
11
Q

Explain how to determine the Mean of a Grouped Data Set

A
How well did you know this?
1
Not at all
2
3
4
5
Perfectly
12
Q

The two most-used measures of dispersion, or variability, are the ——

A

variance and the standard deviation.

How well did you know this?
1
Not at all
2
3
4
5
Perfectly
13
Q

If the entire population of values is given, deviation is represented as

A

(x – μ), the distance between a raw value x and the population mean, mu

How well did you know this?
1
Not at all
2
3
4
5
Perfectly
14
Q

If the distribution is a subset of values, as in a sample, deviation is represented as

A

(x – x̅), the distance between a raw value x and the sample mean, x-bar

How well did you know this?
1
Not at all
2
3
4
5
Perfectly
15
Q

The sum of deviations from the mean in a distribution always equals —-. Because —-

A
  • zero
  • since the mean is the average of the values in the distribution, the differences between the mean and values above the mean will be offset by the differences below the mean.
How well did you know this?
1
Not at all
2
3
4
5
Perfectly
16
Q

Difference between variance and SD

A

Standard deviation is a measure of dispersion of a cluster of data from the center, whereas deviation refers to the amount by which a single data point differs from a fixed value.

17
Q

variance

in terms of SD

A

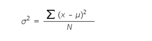
the average of the squared deviations from the mean. If the values for the entire population are known, the population variance is calculated using N to represent the total number of values in the population.

18
Q

There are two reasons for squaring the deviations used in calculating the variance:

A
  • Squaring “weights” the value in favor of the larger deviations, increases the effect of “outliers” in the distribution.
  • Squaring makes all the values positive.
19
Q

The standard deviation is defined as (2)

in terms of variance

A

the principal square root of the variance. Taking the square root returns the value to the original scale of measurement so that it is expressed in units of the original data set.

20
Q

Since it is expressed in units of the original data set, the standard deviation summarizes variability in a distribution in a form that is —–. It also serves as a —- for values in the distribution.

A
  • specific to that particular distribution
  • locator
21
Q

Since a z-score represents the distance a data point is from the mean of the distribution, calculating a z-score is simply a matter of

A

dividing the difference between the data point and the mean by the calculated standard deviation of the distribution. This tells you the number of standard deviations the score is away from the mean.

22
Q

A negative z-score indicates the associated raw data value is —– the mean, and a positive z-score is associated with a value that is —- the mean.