Module 5: Textbook Flashcards

Normal Probability Distributions (23 cards)

1
Q

normally distributed

A

when graphed they tend to be unimodal and symmetrical and appear as a bell-shaped distribution

How well did you know this?
1
Not at all
2
3
4
5
Perfectly
2
Q

naturally occurring data tend to be —

A

normally distributed

How well did you know this?
1
Not at all
2
3
4
5
Perfectly
3
Q

normal curve

A

graphical representation of the normal distribution

How well did you know this?
1
Not at all
2
3
4
5
Perfectly
4
Q

Normal curves portray situations where

A

there are many observations around some central point or measurement, with decreased observations the further the value is from the central point.

How well did you know this?
1
Not at all
2
3
4
5
Perfectly
5
Q

In extreme cases, the outlier(s) may severely distort the shape of the distribution. In such cases, the —- may be more useful as a measure of central tendency than the —-.

A
  • median
  • mean
How well did you know this?
1
Not at all
2
3
4
5
Perfectly
6
Q

The probability associated with a range of values in the normal distribution is equal to the —–. For example:

A
  • corresponding area under the curve
  • The area to the left or right of the mean corresponds to a probability of ½, or .5. The shaded area of the curve below accounts for one-half of the values in the distribution. It follows that if we were to randomly select a single value from the distribution, the probability of selecting a value from the shaded region would be equal to ½, or .5.
How well did you know this?
1
Not at all
2
3
4
5
Perfectly
7
Q

The total area under the normal curve is equal to –/If you were to sum the probabilities of every value in the distribution, they would sum to –

A

1

How well did you know this?
1
Not at all
2
3
4
5
Perfectly
8
Q

The normal curve approaches, but never —–. This is because there is —

A
  • touches, the x-axis of the graph
  • always a probability associated with any possible value of the continuous random variable, no matter how slight.
How well did you know this?
1
Not at all
2
3
4
5
Perfectly
9
Q

A normal distribution is defined by its —- and —-, which also determine —–.

A
  • mean
  • standard deviation
  • the shape of the graphed normal curve representing the distribution
How well did you know this?
1
Not at all
2
3
4
5
Perfectly
10
Q

The greater the standard deviation of the distribution, the greater the “—–” of the distribution’s graphed normal curve.

A

spread

How well did you know this?
1
Not at all
2
3
4
5
Perfectly
11
Q

The common shape of normal curves is derived from the following properties (3):

A
  • Normal curves are symmetric about the mean.
  • All three measures of central tendency are the same in a perfect normal curve.
  • The proportion of the areas between the standard deviations are known.
How well did you know this?
1
Not at all
2
3
4
5
Perfectly
12
Q

Finally, in any normal curve, the sections of the total area defined by the standard deviation are the same regardless of the value of the standard deviation. These percentages are the same for all normal distributions What are the %?

A
How well did you know this?
1
Not at all
2
3
4
5
Perfectly
13
Q

The empirical rule states that, for data with a symmetric, bell-shaped distribution like the normal curve shown below, the normal curve area has the following characteristics (3):

A
  • About 68% of the data lie within one standard deviation of the mean.
  • About 95% of the data lie within two standard deviations of the mean.
  • About 99.7% of the data lie within three standard deviations of the mean.
How well did you know this?
1
Not at all
2
3
4
5
Perfectly
14
Q

Steps to determine if a sample of data comes from a normally distributed population (4)

A
  1. Create a grouped frequency distribution of the data to establish classes and frequencies.
  2. Create a histogram from the grouped data.
  3. Calculate the mean and standard deviation of the data.
  4. Determine the actual vs. expected proportion of scores in intervals.
How well did you know this?
1
Not at all
2
3
4
5
Perfectly
15
Q

Sampling distribution

A

a frequency distribution of the complete set of a statistic derived from random samples of a given size drawn from a population.

How well did you know this?
1
Not at all
2
3
4
5
Perfectly
16
Q

The mean of the distribution of sample means is represented by the symbol

16
Q

Distribution of sample means

A

If we take every possible sample of size n from a population and calculate the sample mean for each sample, the distribution of those sample means would be the sampling distribution for the sample mean.

17
Q

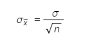
The standard deviation of the mean is called the standard error and is represented by the symbol

18
Q

If a population has a mean μ, then the mean of the distribution of the sample means is

19
Q

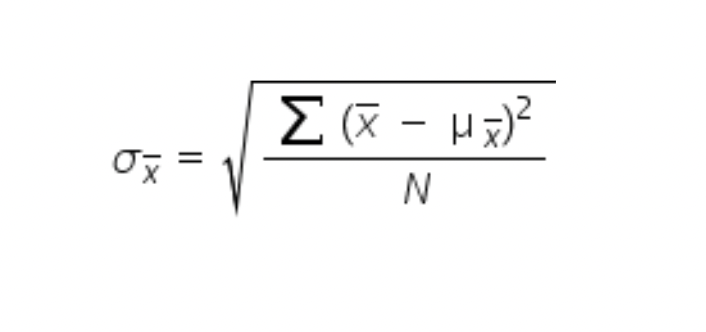
Standard deviation of the Distribution of Sample Means

A

an estimate of how far the mean of the sampling distribution of a sample mean is from the population mean.

Where u-x bar is the population mean as well
20
Q

To use the central limit theorem, we need only to know the —- and —– of the population of values the means come from, and ——.

A
  • mean μ
  • standard deviation σ
  • the sample size n
21
Q

The central limit theorem has three parts:

A
  • The distribution of sample means approaches a normal curve as n increases to infinity.
  • The mean of the distribution of sample means has the same value as the mean of the known population. μx̄ = μ
  • The standard error of the mean is the standard deviation of the known population divided by the square root of the sample size n.
22
Q

Explain to me more about “The distribution of sample means approaches a normal curve as n increases to infinity” (3)

2 condition of the original population of raw data + truly

A
  • If the original population of raw data is known to be normally distributed, then the distribution of the sample means is also normally distributed regardless of the size of the sample.
  • If the distribution of raw data is not normally distributed, then we need a reasonable sample size in order to obtain a distribution of sample means that is normally distributed.
  • Notice the theorem states that “as n increases,” meaning that the larger n is, the closer to the normal curve the distribution of sample means is. This implies that the distribution of sample means is never really a true normal curve.