Module 3 Section 6 Flashcards

(31 cards)

1
Q

explain oxygen solubility and partial pressure in blood

A
  • the partial pressure of oxygen (PO2) in arterial blood is approx 100mmHg, corresponding to about 200mL of O2 per litre of blood
  • oxygen is poorly soluble in plasma, with only about 3mL of O2 able to dissolve physically in 1 litre of plasma
  • if dissolved oxygen were the only source available to meet the bodys metabolic demands, oxygen delivery would be insufficient
How well did you know this?
1
Not at all
2
3
4
5
Perfectly
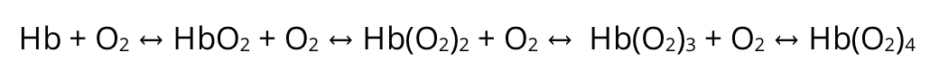
2
Q

explain blood, oxygen, and haemoglobin

A
  • each of the 4 iron atoms in a Hb molecule can bind an oxygen molecule such that the following equation can be applied to describe this relationship
  • the double arrows between each step mean that each of these reactions is fully reversible allowing Hb to bind oxygen for transport, then unbind oxygen for delivery
  • Hb is fully saturated when all the Hb present is carrying its max oxygen load
  • the most important factor for determining % Hb saturation is PO2
  • if you increase concentration of one substance involved in a reversible reaction, the reaction is driven to the other side
How well did you know this?
1
Not at all
2
3
4
5
Perfectly
2
Q

explain the role of hemoglobin in oxygen transport

A
  • this problem is solved by hemoglobin (Hb), which binds oxygen and allows large quantities to be transported in the blood
  • once oxygen is bound to hemoglobin, it no longer contributes to the PO2; therefore, PO2 relfects only the freely dissolved oxygen in plasma, while hemoglobin-bound oxygen serves as a reserve
  • this distinction is critical for understanding the difference between oxygen partial pressure, saturation, and content
  • in humans, hemoglobin consists of 4 protein subunits, each containing a heme group with an iron molecule that binds oxygen
How well did you know this?
1
Not at all
2
3
4
5
Perfectly
3
Q

explain the oxygen dissociation curve

A
  • the relationship between PO2 and % Hb saturation is described in what is called the oxygen dissociation curve
  • this is a sigmoidal shaped curve that has a steep slope between 0 and 60 mmHg, and plateaus beyond 60 mmHg as it approaches 100mmHg
  • this steep slope below 60 mmHg means that a small change in PO2 can have a large effect on % Hb saturation
How well did you know this?
1
Not at all
2
3
4
5
Perfectly
4
Q

explain the significance of the plateau portion of the O2-Hb curve

A
  • the plateau region of the curve, from 60mmHg to 100mmHg, represents the PO2 range found in the pulmonary capillaries where the Hb is collecting O2
  • when the blood is leaving the lungs with a PO2 of 100mmHg, the dissociation curve shows that the Hb is 97.5% saturated
  • blood leaving the lungs is normally always saturated
  • the low slope of this part of the curve also ensures that even if there was a drop in PO2 to 60mmHg, Hb would still be 90% saturated
How well did you know this?
1
Not at all
2
3
4
5
Perfectly
5
Q

what are the 2 conditions of the plateau phase

A
  1. at high altitude where PO2 of inspired air is reduced
  2. in oxygen-deprived environments at sea level. the plateau phase of the curve ensures that until your arterial PO2 drops below 60mmHg, near normal amounts of oxygen can still be transported to the tissues
How well did you know this?
1
Not at all
2
3
4
5
Perfectly
6
Q

explain the significance of the steep portion of the O2-Hb curve

A
  • the steep portion of the curve between 0 and 60mmHg corresponds to the range of PO2 that is found in the systemic capillaries
  • blood arrives in the capillaries with a PO2 of 100mmHg and is 97.5% saturated
  • by the time the blood is leaving the systemic capillaries the PO2 has dropped to 40mmHg and is now 75% saturated
  • this means that 25% of the oxygen has been unloaded to support metabolism at rest
How well did you know this?
1
Not at all
2
3
4
5
Perfectly
7
Q

explain the steep portion of the O2-Hb curve in metabolically active tissues

A
  • in metabolically active tissues where more oxygen is needed, a drop in PO2 to 20mmHg can release an additional 45% of the total oxygen
  • the steep portion of the curve allows for larger amounts of O2 dissociation for small decreases in PO2
How well did you know this?
1
Not at all
2
3
4
5
Perfectly
8
Q

why is the steep portion of the curve beneficial for persons breathing at altitude

A
  • with a decreased atmospheric pressure, there is a decrease in alveolar PO2 and therefore a decrease in arterial PO2
  • the decrease in arterial PO2 activates carotid chemoreceptors that causes an increase in ventilation
  • if the person is still at rest then this increased ventilation will result small decrease in arterial PCO2, which according to the arterial gas equation, means there will be a small increase in alveolar PO2
  • on the steep portion of the curve, this small increase in alveolar PO2 can greatly increase % Hb saturation
How well did you know this?
1
Not at all
2
3
4
5
Perfectly
9
Q

explain PO2 when there is no Hb present

A

when there is no Hb present in the blood, the alveolar PO2 and the pulmonary capillary blood PO2 are at equilibrium

How well did you know this?
1
Not at all
2
3
4
5
Perfectly
10
Q

explain PO2 when Hb is partially saturated

A
  • as the Hb starts to bind with oxygen, it removes oxygen from solution
  • because only dissolved oxygen contributes to blood PO2, the blood PO2 remains below that of the alveoli, even though the same number of oxygen molecules are present in the blood
  • by binding some of the dissolved oxygen, Hb favours the net diffusion of more oxygen down it partial pressure gradient from the alveoli to the blood
How well did you know this?
1
Not at all
2
3
4
5
Perfectly
11
Q

explain PO2 when Hb is fully saturated

A
  • Hb is fully saturated with oxygen and the alveolar and blood PO2 are at equilibrium again
  • the blood PO2 resulting fro dissolved oxygen is equal to the alveolar PO2 despite the fact that the total oxygen content in the blood is much greater than in the case of no Hb
How well did you know this?
1
Not at all
2
3
4
5
Perfectly
12
Q

explain how pH effects the dissociation curve

A
  • the primary form that carbon dioxide is carried in the blood is as bicarbonate ion (HCO3-)
  • as HCO3- goes through the anhydrase-carbonic acid cycle, a H+ ion is released
  • during exercise, lactic acid is produced
  • the combination o H+ and lactic acid can cause the pH to decrease, which enhances the dissociation of oxygen form haemoglobin in a phenomenon known as the Bohr effect
How well did you know this?
1
Not at all
2
3
4
5
Perfectly
13
Q

explain how BPG effects the dissociation curve

A
  • within the RBC themselves is 2,3-biphosphoglyceate (BPG), which also affects the oxygen dissociation curve by shifting it to the right
  • when oxygen saturation in arterial blood is below normal, BPG production is increased
  • it acts like an oxygen sensor such than in conditions of lower PO2, BPG enhances the unloading of oxygen
  • BPG produced is not eliminated int he lungs so it persists in limiting oxygen binding to Hb, resulting in arterial blood to have a decreased % saturation
How well did you know this?
1
Not at all
2
3
4
5
Perfectly
14
Q

explain how CO2 effects the dissociation curve

A
  • can bind to Hb
  • when there is an increase in PCO2, the oxygen dissociation curve shifts to the right (decreased % saturation for a given PO2)
  • this is another mechanism to increase oxygen unloading in metabolically active tissues where PCO2 is increasing such as the systemic capillaries
  • this is called the Haldane effect and leads to more oxygen unloading than a decrease in PO2 alone could accomplish
How well did you know this?
1
Not at all
2
3
4
5
Perfectly
15
Q

explain how Hb and CO effects the dissociation curve

A
  • CO is a toxic gas that is produced from the incomplete combustion of carbon-based products
  • CO competes with O2 for the same binding site on Hb and forms a product called carboxyhaemoglobin (HbCO)
  • the binding affinity for CO is 240 times greater than O2 meaning that eve low levels of CO can make a large number of oxygen-binidng sites on Hb unavailable, and the % saturation is decreased
    -CO also shifts the oxygen dissociation curve to the left, requiring larger drops in PO2 to unload oxygen into the tissues
  • the consequences can be severe and cause death
16
Q

explain CO2 physically dissolved

A
  • CO2 is 20 times more soluble in solution than O2 so it makes sense than more CO2 is transported physical dissolved in the plasma
  • only about 5-10% of total blood CO2 is freely dissolved but this small fraction accounts for the 46mmHg partial pressure of CO2 when blood leaves the systemic capillaries
17
Q

explain CO2 bound to haemoglobin

A
  • CO2 does not bind to the haem-O2 binding sites, rather it binds to the globin part of the molecule
  • Hb without oxygen has a greater affinity for CO2 so the unloading of O2 in the systemic capillaries enhances the uptake of CO2
  • only another 5-10% of the total CO2 is transported in this manner
18
Q

explain CO2 as a bicarbonate (HCO3-)

A
  • bicarbonate makes up 80-90% of circulating CO2 and can be represented by the equation CO2+H2O ↔H2CCO3 ↔ H+ + HCO3-
  • CO2 combines with water to form carbonic acid
  • this reaction can occur slowly in the plasma but RBC have the enzyme carbonic anhydrase (CA), which accelerates the reaction
  • carbonic acid spontaneously dissociates into hydrogen ions and bicarbonate
19
Q

explain the chloride (hamburger) shift

A
  • in the systemic capillaries, as more CO2 enters the RBC, bicarbonate and hydrogen ions accumulate
  • RBS have a bicarbonate-chloride carrier that passively allows the exchange of these ions across the cell membrane
  • bicarbonate leaves the cells and chloride enters the cell, down its electrochemical gradient
  • this inward shift of chloride, in exchange for bicarbonate, is known as the chloride (hamburger) shift
  • this shift facilitates the movement of CO2 from the tissues into the blood to be transported to the lungs and expired
20
Q

explain the reverse haldane effect

A
  • occurs when there are increases in arterial PO2, such as when breathing supplemental oxygen
  • the increased PO2 prevents the haemoglobin from binding carbon dioxide
  • this forces the CO2 to travel back to the lungs either dissolved in the plasma or as bicarbonate
  • blood acidity may rise, which might be the explanation for the increased ventilation rates associated with breathing supplemental oxygen
21
Q

what is hypoxia

A
  • abnomailty in arterial PO2
  • described as insufficient oxygen at the cellular level
22
Q

what is hypoxic hypoxia

A
  • characterized by low arterial PO2 with inadequate Hb saturation
  • it is caused either by inadequate gas exchange or exposure to high altitude (or any environment where there is a reduced atmospheric PO2)
23
Q

what is anemic hypoxia

A
  • reduced oxygen carrying capacity of the blood and can result from
    1. a decrease in circulating RBC
    2. decreased Hb within the RBC
    3. carbon monoxide poisoning
  • PO2 is always normal but the oxygen content of arterial blood is decreased
24
what is circulating hypoxia
- occurs when too little oxygenated blood is delivered to the tissues - this is usually caused by something that blocks the delivery of blood, like vascular spasms or a blockage - arterial PO2 and oxygen content are usually normal
25
what is histotoxic hypoxia
- oxygen delivery to the tissues is completely normal but something within the tissues prevents oxygen usage - EX. cyanide poisoning, as cyanide disrupts internal respiration
26
explain hyperpoxia
- characterized by an abnormally high arterial PO2 - this can never happen to a person breathing air at sea level but it can happen in someone breathing supplemental oxygen - the high oxygen content of the inspired gas raises arterial PO2 but the total oxygen content does not as Hb is essential saturated with breathing normal air
27
explain how hyperpoxia is not good
- it can raise arterial PO2 to dangerous levels and cause oxygen toxicity - in some tissues, the increased dissolved O2 can cause the formation of reactive oxygen species that can damage cells - this can be the cause of brain and retina damage, causing blindness, in some patients breathing supplemental oxygen
28
explain abnormalities in arterial PCO2
- alveolar PCO2 is directly related to the metabolic production of CO2 and inversely related to alveolar ventilation - at a given level of metabolism, increasing ventilation will lower alveolar PCO2 and decreasing ventilation will increase alveolar PCO2
29
what is hypercapnia
- the excess of carbon dioxide in the blood and is caused by hypoventilation - because both carbon dioxide and oxygen are equally affected by decreased ventilation, hypercapnia can result in decreased PO2
30
what is hypocapnia
- the below-normal arterial PCO2 and is caused by hyperventilation - it can be caused by anxiety, ever, aspirin poisoning, and even exercise if there is a shift to anaerobic metabolism - hyperventilation causes an increased alveolar PO2 but very little extra is added to the blood because both the partial pressure of dissolved oxygen and the % saturation of Hb are near maximal with normal alveolar PO2