module 4 Flashcards

(59 cards)

1
Q

what are the general facts about peptide bonds?

A

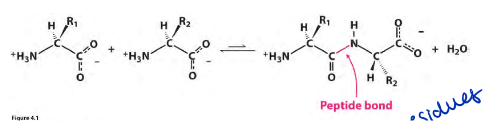
-are covalent linkages between amino acids
-form by condensation reactions involving the loss of a water molecule
-formation eliminates the a-carboxyl and a-amino charged groups, which will be important for protein folding
-peptide bonds are the same, independent of the amino acids being joined

How well did you know this?
1
Not at all
2
3
4
5
Perfectly
2
Q

what is the polypeptide main chains of peptide bonds?

A

-as a result of the conserved nature of peptides bond, there is a repeating pattern within the main chain
-the main chain is the constant portion of the polypeptide, the side chains are variable
-within the main-chain there is a repeating pattern of NCCNCC

How well did you know this?
1
Not at all
2
3
4
5
Perfectly
3
Q

what is the partial double bond characteristic of peptide bonds?

A

-rotation around C-N peptide bond is restricted due to its partial double-bond characteristic
-as a consequence of the partial double bond characteristic the six atoms of the peptide group are rigid and planar

How well did you know this?
1
Not at all
2
3
4
5
Perfectly
4
Q

why are trans configuration favored?

A

-the cis configuration is more likely to cause steric interference between side chain groups
-steric exclusion means that two groups can’t occupy the same place at the same time

How well did you know this?
1
Not at all
2
3
4
5
Perfectly
5
Q

what is the configuration of peptide bonds?

A

-the partial double bond of the peptide bond creates cis-trans isomers
-the oxygen of the carbonyl group and the hydrogen of the amide nitrogen are usually trans to each other

How well did you know this?
1
Not at all
2
3
4
5
Perfectly
6
Q

what are the four levels of protein structure?

A

-primary: the linear sequence of amino acids
-secondary: localized interactions within the polypeptide
-tertiary: the final folding pattern of a single polypeptide (highest in most proteins)
-quaternary: the folding pattern when multiple polypeptides are involved

How well did you know this?
1
Not at all
2
3
4
5
Perfectly
7
Q

what is the primary structure of proteins?

A

-presented from the N (amino) terminus to the C (carboxyl) terminus
-the info specifying correct folding is contained within
-defines the linear arrangement of amino acids in a polypeptide
-ex: YGGFL

How well did you know this?
1
Not at all
2
3
4
5
Perfectly
8
Q

can we predict 3D structure based on primary structure?

A

-it is not yet possible to reliably predict 3D structure based on primary structure
-primary structure is often determined through investigation of the corresponding gene

How well did you know this?
1
Not at all
2
3
4
5
Perfectly
9
Q

what is the secondary structure of proteins?

A

-represents localized patterns of folding in a polypeptide
-maintained by hydrogen bonds between main-chain amide and carbonyl groups
-examples include a-Helicies and B-sheets

How well did you know this?
1
Not at all
2
3
4
5
Perfectly
10
Q

what are secondary structure conserved across proteins?

A

-elements of secondary structure are found in different proteins
-they retain the same overall characteristics independent of protein context

How well did you know this?
1
Not at all
2
3
4
5
Perfectly
11
Q

what are the two key rules of secondary structures? (viable forms must:)

A

-optimize the hydrogen bonding potential of main-chain carbonyl and amide groups
-represent a favored conformation of the polypeptide chain

How well did you know this?
1
Not at all
2
3
4
5
Perfectly
12
Q

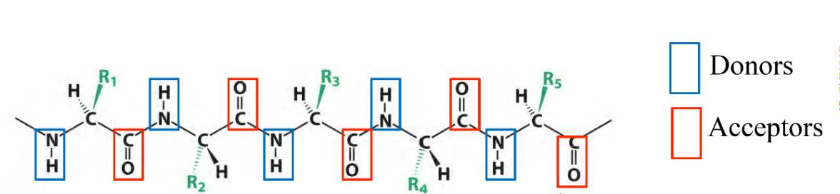
what are the main chain hydrogen bonding groups in secondary structure?

A

-each peptide bond has a hydrogen bond donor and acceptor group
-equal number of hydrogen bond donors and acceptors within the polypeptide main-chain
-important for optimizing hydrogen bonds

How well did you know this?
1
Not at all
2
3
4
5
Perfectly
13
Q

who discovery the a-helix?

A

-in 1948, Linus Pauling spent a day sick in bed reading detective stories
-be began to doodle
-for this he received the nobel prize in chemistry in 1954

How well did you know this?
1
Not at all
2
3
4
5
Perfectly
14
Q

what are alpha helix (hydrogen bonds)?

A

-right-handed helix with 3.6 turns
-stabilized by hydrogen bonds which run parallel to the axis of the helix
-carbonyl group point toward the C-terminus; amide groups to the N-terminus
-each carbonyl of residue n hydrogen bonds with amide groups of residue n+4

How well did you know this?
1
Not at all
2
3
4
5
Perfectly
15
Q

what can form an alpha helix?

A

-most sequences can theoretically but there are some guidelines and trends

How well did you know this?
1
Not at all
2
3
4
5
Perfectly
16
Q

what are the guidelines and trends of what can form an alpha helix of proline and glycine?

A

-proline because of its rigidity
-glycine because of its flexibility

How well did you know this?
1
Not at all
2
3
4
5
Perfectly
17
Q

what are the guidelines and trends of what can form an alpha helix of amino acids and charged residues?

A

-AA with side chain branches (Val, Thr, Ile) are less common due to steric interference
-AA with H bonds groups near the main-chain (Ser, Asp, Asn) are also less common
-charged residues tend to be positioned to form favorable ion pairs (residues of opposite charge separated by 3-4 position)

How well did you know this?
1
Not at all
2
3
4
5
Perfectly
18
Q

what are the basic facts about tertiary structures?

A

-the final folding pattern of a single polypeptide
-residues separated by great distance in primary struc may be close in proximity in tert structure
-the biological active folding pattern is the native conformation
-AA determines
-describes the long range aspects of sequence interactions within a polypeptide

How well did you know this?
1
Not at all
2
3
4
5
Perfectly
19
Q

what are the differences in tertiary structures in different proteins?

A

-vary in their content of alpha helicies and beta sheets
-diff proteins have different tertiary structures which relates to their unique functions

How well did you know this?
1
Not at all
2
3
4
5
Perfectly
20
Q

what is the stability of a protein?

A

-proteins are only marginally stable (stability is defined as the tendency to maintain a native conformation)
-weak interactions predominate in stabilizing protein structure
-the protein conformation with the lowest free energy (the most stable) is usually the one with the maximum number of weak interactions
-the stability of a protein reflects the difference in the free energies of the folded and unfolded states

How well did you know this?
1
Not at all
2
3
4
5
Perfectly
21
Q

what is protein folding?

A

-folded proteins occupy a low-energy state of great stability
-is a rapid process, indicating proteins don’t sample all possible folding patterns
-some proteins spontaneously fold to their native conformations, other require the help of chaperones

How well did you know this?
1
Not at all
2
3
4
5
Perfectly
22
Q

what can proteins folding be imagined as?

A

-a funnel where a large number of unstable conformations collapse to a single, stable folding pattern

How well did you know this?
1
Not at all
2
3
4
5
Perfectly
23
Q

what is denaturation?

A

-the disruption of native conformation with loss of biological activity

-energy required for denaturation is often small, perhaps only a few hydrogen bonds
-protein folding and denaturation is a cooperative process
-for many proteins denaturation is reversible

How well did you know this?
1
Not at all
2
3
4
5
Perfectly
24
Q

what are quaternary structure?

A

-multiple polypeptides
-may be same or different polypeptides
-subunits usually associate through non-covalent interactions
-usually reserved for proteins of more complex biological function

25
what are the biological advantages associated with quaternary structure?
-may help stabilize subunits and prolong life of protein -unique active sites produced at the interfaces between subunits -help facilitate unique and dynamic combinations of structure/function through physiological changes in tertiary and quaternary structure (hemoglobin) -conservation of functional subunits more efficient than selection for new protein with ideal function
26
biological roles of protein include:
-enzymes -storage and transport -physical cell support and shape -mechanical movement -decoding cell information -homones and/or hormone receptors -many other specialized functions
27
what is the diversity of function of protein enable?
-diversity of function enabled by diversity of structure -proteins show extreme structural and functional diversity
28
how many proteins do different organisms have?
-bacteria have 5,000 -fruit flies have 16,000 -humans have 25,000 -this represents the minimum number of proteins, additional isoforms are generated through post-translational modification -humans may have up to a million different protein isoforms
29
how many amino acids are proteins?
-typically 100 to 1,000 AA in length -at 51 AAs, insulin is often used as the threshold of when a polypeptide becomes a protein -the largest protein discovered to date is Titin, with an isoform containing 34,350 AA
30
how do we know the number of AA in a protein?
-approximated by dividing the proteins molecular weight by 110 (average Molecular weight of an AA) -Ex: horse myoglobin has molecular weight of 16, 890, divide by 110 = 153.55
31
what are five important facts about proteins?
-function of protein depends on its structure -3D structure of a protein is determined by AA sequence -non-covalent forces are the most important forces stabilizing protein structure -within the huge number of unique protein structures, there are common structural patterns -an isolated protein usually exists in one or a small umber of structural forms
32
what are examples of fibrous proteins and globular proteins?
-fibrous: keratin, collagen, silk -globular: myoglobin, hemoglobin
33
what is keratin the principle component of?
-hair, wool, horns and nails
34
what is the primary structure of keratin?
-contains a pseudo-seven repeat where positions a and d are hydrophobic residues (abcdefg)(abcdefg)(abcdefg)
35
what is the secondary structure of keratin?
-forms and alpha helix -residues from positions a and d end up on the same face of the helix resulting in a hydrophobic strip along the length of the helix
36
how does keratin form a coiled-coil?
-two amphipathic helicies of keratin interact to bury their hydrophobic faces together -involved two right-handed helicies wrapping around each other in a left-handed fashion
37
what is a coiled-coil?
-formed when two or more helicies entwine to form a stable structure
38
where does the strength of keratin arise from? (post translational stabilization)
-from covalent linkages of individual units into higher-order structures -individual units are linked together through disulfide bonds -the extent of disulfide bonding will determine the strength of the overall structures
39
what is collagen in?
-a major protein of vertebrates (25% of total protein)
40
what is the primary structure of collagen?
-contains repeating Gly-X-Y where X is often proline
41
what is the secondary structure of collagen?
-forms a left-handed helix of three residues per turn
42
what is the coiled coil of collagen?
-three left-handed helicies come together to form a coiled coil -wrap around each other in a right-handed fashion -bulky side chain of proline are on the outside of the coiled coil -the small side chains of the glycine residues are in the tightly packed core of the coiled coil
43
what are the post-translational modifications of collagen?
-strength arise from covalent linkages between the individual units into higher order structures -rather than disulfides, these linkages occur from residues that undergo post-translational modification (hydroxyproline) -more of these cross links occur with age, accounting for the increasing brittle characteristics of aging connective tissue and tougher meat
44
what does collagen require in post-translational modifications?
-the covalent crosslinks of collagen involve post-translationally modified residues (hydroxyproline, hydroxylysine) -the enzymes performing these modification require Vitamin C -without these modified residues, collagen cannot form the stabilizing crosslinks
45
what does vitamin C deficiency lead to?
-SCURVY -leads to weakened structure of collagen which manifests in skin lesions, fragile blood vessels, bleeding gums, etc
46
what is scurvy?
-symptoms: numerous bruises, tooth loss, poor wound healing, bone pain, and eventual heart failure -the demonstration that citrus prevents and cures scurvy was one of the first controlled human clinical trials -milder cases cause fatigue, irritability and susceptibility to illness
47
do university students get enough vitamin C?
-a study showed 10% don't get enough vitamin C
48
is too much vitamin C a good thing?
-Linus Pauling proclaimed that high levels of Vitamin C could help avoid colds, cure cancer and prolong life -trials involving high doses of vitamin C showed no therapeutic value -instead, individuals taking the mega doses of vitamins were more likely to develop cancer
49
what are the genetic diseases that inlove collagen?
-number involving collagen and related connective tissue -include Osteogenesis imperfecta, Marfan's syndrome, Stickler syndrome and Ehlers-Danlos syndrome -can be associated with brittle and abnormal bone structure, weakened cardiovascular capabilities, loose skin and joints and hyper-flexibility
50
Niccolo Paganini: Devil or genetic disorder?
-Niccolo is considered by many of the greatest violin virtuosi to have ever lived -paganini was so much better than everyone, rumors that he had sold his sou to the devil spread -he was capable of playing three octaves across four strings in a hand space, nearly impossible -believed to have Marfan's syndrome -resulting in hyper-extendible joints allowed him to play beyond range of normal people
51
what is silk found in?
-produced by insects and spiders for formation of webs and cocoons -webs and cocoons need both strength and flexibility
52
what is the primary structure of silk?
-most silk has a residue repeat (GSGAGA)(GSGAGA)(GSGAGA)
53
what is the secondary structure of silk?
-composed primarily of beta sheets -the fully extended polypeptides of beta offer considerable strength -on a cross sectional basis, silk is one of the strongest known materials
54
what is the strength and flexibility of silk?
to appreciate molecular basis, need to consider its structure in each dimension: -fully extended polypeptide chains (strength) -association of strands by hydrogen bonding (flexible) -association of sheets by van der waals and hydrophobic interactions (flexible)
55
what are the medical applications and genetic engineering of silk?
-due to its enticing properties, spider silk has enormous potential for medical applications (bone repair, artificial skin, brain implants) -the exciting properties of silk are matched by challenges of its availability
56
what is a new form of infectious disease?
-prion disease are a novel paradigm of infectious disease based on the misfolding of a self-protein into a pathological, infectious conformation -are fatal, untreatable neurodegenerative diseases
57
what are the disease-specific vaccines of prions?
-when a protein misfolds, new regions are exposed for antibody binding -these misfolding-dependent epitomes are termed disease-specific epitomes (DSE) -disease specific epitomes appear ideal vaccine targets -antibodies induced against DSE only bind the unhealthy form of the protein sparing the function of the healthy form
58
is there only one type infectious proteins?
-until recently, TSE were a distinct category of neurodegenerative disorder exclusive in their defining characteristics of infectivity -increasing evident that the mechanisms associated with prion self-propagation are conserved in other proteinopathies: -Alzheimer's (B-amyloid) -parkinsons (a-synuclein) -huntingtons (huntingtin) -ALS (superoxide dismutase)
59