module 7 Flashcards

(51 cards)

1
Q

what do the physiological roles of carbohydrates include?

A

-sources of energy
-energy storage
-structural roles
-cellular interaction
-cellular identification
-information transfer (DNA and RNA)
-signaling

How well did you know this?
1
Not at all
2
3
4
5
Perfectly
2
Q

what are carbohydrates?

A

-hydrates of carbon
-have empirical formula of (CH2O)n where n > or = 3 (usually 3-6)
-for each carbon, there is a water molecule

How well did you know this?
1
Not at all
2
3
4
5
Perfectly
3
Q

what are the two major classes of carbohydrates?

A

-aldoses (which have aldehyde groups)
-ketoses (which have ketone group)

How well did you know this?
1
Not at all
2
3
4
5
Perfectly
4
Q

what do most monosaccharides have multiple of?

A

-asymmetric carbons

How well did you know this?
1
Not at all
2
3
4
5
Perfectly
5
Q

what determines whether a sugar is D or L?

A

-the designation of a sugar as either D or L is based on the configuration of the chiral carbon most distant from the carbonyl oxygen
-the designation of D or L is relative to the reference molecule D-glyceraldehyde

How well did you know this?
1
Not at all
2
3
4
5
Perfectly
6
Q

how do you determine how many stereoisomers a sugar as?

A

-molecules with n chiral centers will have 2^n stereoisomers
-ex: 4 chiral center= 16 stereoisomers
3 chiral centers=8 stereoisomers

How well did you know this?
1
Not at all
2
3
4
5
Perfectly
7
Q

what are the categories of isomers within carbohydrates?

A
How well did you know this?
1
Not at all
2
3
4
5
Perfectly
8
Q

what are epimers?

A

-are sugars that differ at a single chiral center

How well did you know this?
1
Not at all
2
3
4
5
Perfectly
9
Q

in solution, longer carbohydrates (5 carbons and up)tend to be _________

A

CYCLIZED

How well did you know this?
1
Not at all
2
3
4
5
Perfectly
10
Q

formation of cyclized structures is the reaction of ______________?

A

formation of these cyclized structures is the result of a reaction of an internal alcohol (hydroxyl group) with either:

How well did you know this?
1
Not at all
2
3
4
5
Perfectly
11
Q

cyclized carbohydrates can be found in two ring forms:

A
How well did you know this?
1
Not at all
2
3
4
5
Perfectly
12
Q

what is the cyclization of glucose to glucopyranose? what is an anomeric carbon?

A

-cyclization of glucose involves the C5 hydroxyl and the C1 aldehyde
-cyclization renders C1 chiral, producing two stereoisomers, a and b

-the carbon that becomes chiral as a result of cyclization is the anomeric carbon
-the a and b forms are anomers of each other

How well did you know this?
1
Not at all
2
3
4
5
Perfectly
13
Q

what are a and b configurations?

A

cyclization produces a new chiral carbon at the anomeric carbon, resulting in two new stereoisomers
-a- hydroxyl of anomeric carbon is below the plane of the sugar
-b- hydroxyl of anomeric carbon is above the plane of the sugar

How well did you know this?
1
Not at all
2
3
4
5
Perfectly
14
Q

what is mutarotation? what is glucoses?

A

-in solution, the a and b configurations interconvert by a process called mutarotation
-occurs through a linear intermediate
-represents a change in configuration (break bonds)
-in solution, glucose tends to be 2/3 b glucopyranose, 1/3 a-glucopyranose and less than 1% linear

How well did you know this?
1
Not at all
2
3
4
5
Perfectly
15
Q

what is the cyclization of D-fructose to fructofuranose?

A

-cyclization of fructose involves the C5 hydroxyl and C2 ketone
-cyclization renders C2 chiral (anomeric carbon), producing a and b stereoisomers

How well did you know this?
1
Not at all
2
3
4
5
Perfectly
16
Q

what is the conversion of fructofuranose and fructopyranose?

A

-fructose exists in both pyran and furan rings
-b-fructopyranose, found in honey, is extremely sweet
-heating b-fructopyranose promotes its conversion to b-fructofuranose (which is less sweet)
-corn syrup, with high concentration of b-fructopyranose, is used to sweeten cold, but not hot drinks

How well did you know this?
1
Not at all
2
3
4
5
Perfectly
17
Q

what is the general about sugar derivatives?

A

-carbohydrates derivatives break from the empirical formula of (CH2O)n
-these derivatives can include nitrogen, phosphate, sulfur groups
-these modifications usually indicate specialized functions

How well did you know this?
1
Not at all
2
3
4
5
Perfectly
18
Q

what is myrosinase?

A

-some plants contain glucosinolate and the enzyme myrosinase
-myrosinase acts on glucosinolate to produce glucose and isothiocyanate (which has a sharp, bitter taste)
-myrosinase and glucosinolate are stored separately, but come together upon tissue damage (like being eaten)
-the bitter taste functions to discoourage herbivors from eating the plant

How well did you know this?
1
Not at all
2
3
4
5
Perfectly
19
Q

what are reducing agents of monosaccharides?

A

-linear forms of monosaccharides can be oxidized by mild oxidizing agents like iron and copper
-the carbonyl group is oxidized to a carboxyl group
-allows for quantifications of sugars present in blood and urine
-also defines the end of the sugar with the carboxyl carbon as being the reducing end

How well did you know this?
1
Not at all
2
3
4
5
Perfectly
20
Q

what is a glycosidic bond?

A

primary structural linkage in all polymers of monosaccharides (disaccharides)
-O-glycosidic bonds occur through oxygen
-N-glycosidic bonds occur through nitrogen

How well did you know this?
1
Not at all
2
3
4
5
Perfectly
21
Q

what is the nomenclature of a disaccharide specify?

A

-the monosaccharides involved in the disaccharide
-their ring types (puran, furan)
-their configurations (alpha or beta)
-their linkage (C1-C4)

22
Q

what is the reducing end?

A

-the end of the chain with a anomeric carbon is called the reducing end of the polymer

23
Q

what do monosaccharides have multiple of?

A

-monosaccharides have multiple hydroxyl groups mean that there are many different glycosidic linkages are possible
-three monosaccharides (glucose, galactose, mannose) can generate 12,000 different structures

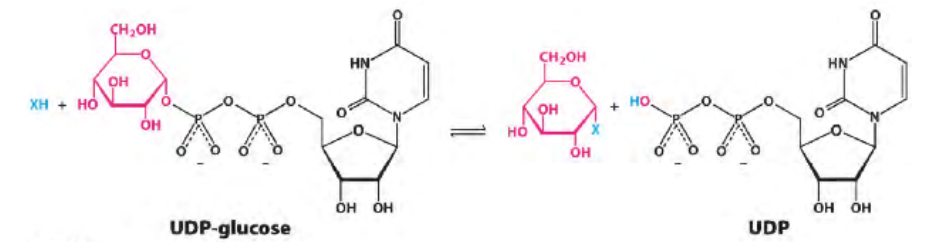
24
Q

how are higher order carbohydrate structures generated?

A

-higher order carbohydrate structures are generated through the action of glycotransferases
-glycotransferases use monosaccharides that are activated through linkage with UDP

25
what is the nomenclature of disaccharides?
1. specify the configuration (alpha or beta) at the anomeric carbon of each monosaccharide 2. specify the ring form (pyran or furan) of each monosaccharide 3. the non-reducing sugar has the suffix "osyl" 4. the reducing sugar has the suffix "ose" 5. Indicate in parentheses the two carbon atom joined by the glycosidic bond with an arrow
26
what is lactose?
-disaccharide
27
what is lactose intolerance?
-individuals who have insufficient levels of enzyme (lactase) that catalyzes the hydrolysis of lactose into glucose and galactose -consumption of lactose by them can led to bloating, cramps, flatulence, diarrhea and nausea -most mammals cease to produce lactase after weaning but some human populations have developed lactase persistence
28
what are the biologicals functions of polysaccharides?
-energy storage -structural -specialized structural -very diverse and complex
29
what are homo and heteropolysaccharides?
-homo: are polymers containing a single type of monosaccharide -hetero: are polymers containing more than one type of monosaccharide -both can either be unbranched or branched
30
what are the energy storage polysaccharides?
-glucose is stored intracellularly in polymeric forms in both plants (starch) and animals (glycogen) starch: -a mixture of two molecules, amylose (unbranched) and amylopectin (branched) -found in plants and fungi glucose: -stored in liver and skeletal muscle of animals
31
what is amylose?
-a linear polymer of glucose residues through a(1-4) bonds
32
what is amylopectin?
-consists of a(1-4) linked glucose residues with a 1(1-6) branch every 24-30 residues
33
do amylose and amylopectin both have reducing and non-reducing ends?
-both have a single reducing end -amylose has a single non-reducing end -amylopectin has multiple non-reducing ends
34
is glycogen present in all cells in animals?
-present in all cells, but most prevalent in skeletal muscle and liver
35
how does the structure of glycogen differ from amylopectin?
-structurally identical to amylopectin -consists of a(1-4) linked glucose residues with a(1-6) branch points but with a higher frequency of branch points (every 10 residues)
36
why is glycogen more branched?
-mobilized in times of need by glycogen phosphorylase which sequential cleaves glucose residues from non-reducing ends -greater frequency of branching allows for rapid mobilization
37
what are the structural polysaccharides?
-cellulose: the primary component of plant cell walls (fiber), accounts for over half of the carbon in the biosphere -chitin: the principal component of hard exoskeletons (insects, lobsters, etc)
38
what is the structure of cellulose?
-a linear, homopolysaccharide of glucose residues -linear arrangement of b(1-4) glycosidic residues (these bonds cannot be cut my amylase)
39
what is the structure of chitin?
-a linear, homopolysaccharide of N-acetylglucosamine residues
40
what is the chemical difference between chitin and cellulose?
-the replacement of hydroxyl group C2 with acetylated amino group
41
what are a(1-4) linkages of starch and glycogen?
-form a hollow, helical structure -this provides a compact, accessible storage structure of glucose
42
what are b(1-4) linkages of chitin and cellulose?
-allow formation of long straight chains -fibrils are formed by parallel chains that are linked through hydrogen bonds -these fibers generate a rigid supportive structure of high tensile strength
43
Sugar can also be _____________________ to form glycolipids?
covalently linked to a lipid molecule
44
what is a central function of glycolipids?
-the blood group antigens -different patterns of sugars presented on the surface of cells by the glycolipids help the body to discriminate self from non-self -differences in blood group antigens is critical for blood transfusions
45
what are glycoproteins?
-proteins with covalently attached sugars -the protein constituent is the largest component by weight -serve a variety of biological roles
46
what are proteoglycans?
-protein component is linked to a particular type of carbohydrate called a glycosaminoglycan -the carbohydrate constituent is the largest component by weight -often serve structural and lubricating functions
47
how are glycoproteins created?
-proteins undergo post-translational glycosylation (addition of sugar groups) -about half of biological proteins are modified with sugar groups -these modifications regulate the structure and function of the protein -these modifications often involve complex, specific patterns of sugar attachment
48
what are sugars attached to in glycoproteins?
-the amide nitrogen of the side chain of an asparagine (N-linked) -the hydroxyl oxygen of the side chain of serine or threonine (O-linked)
49
what is an example of a glycoprotein?
Erythropoietin (EPO) -stimulates red blood cell production -has three N-linked and an O-linked glycosylations
50
what is EPO used for?
-highly effective in the treatment of anemia (red blood cell deficiency) -also exploited by endurance athletes to increase oxygen carrying capacity -the patterns of glycosylation associated with the synthetic version of EPO differ from those of endogenous protein
51
what is the structure of proteoglycans? and functions?
-extracellular space in tissues contains a gel-like material, the extracellular matrix (ground substance) -ground substance holds cells together, provides a porous pathway for diffusion of nutrients and waste products and serves as a cushioning function -extracellular matrix is a meshwork of fibrous proteins and heteropolysaccharides called glycoaminoglycans