Multiple Doses Equation Flashcards

(21 cards)

1
Q

Continous IV Infusion Diagram and Equation

A
How well did you know this?
1
Not at all
2
3
4
5
Perfectly
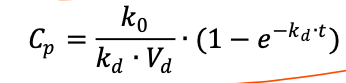
2
Q

Cp Equation of Continous IV

A
How well did you know this?
1
Not at all
2
3
4
5
Perfectly
3
Q

Steady state of continous IV

A
How well did you know this?
1
Not at all
2
3
4
5
Perfectly
4
Q

When is steady state of a continous IV infusion reached?

A

When K0 = Kd steady state is achieved

How well did you know this?
1
Not at all
2
3
4
5
Perfectly
5
Q

Loading Dose Equation

A

LD = Cpss x Vd

How well did you know this?
1
Not at all
2
3
4
5
Perfectly
6
Q

Multiple IV Bolus Doses

A
How well did you know this?
1
Not at all
2
3
4
5
Perfectly
7
Q

What happens in the multiple dose IV bolus equation as N gets larger

A
How well did you know this?
1
Not at all
2
3
4
5
Perfectly
8
Q

Css Max Equation Multiple IV Bolus Dose

A
How well did you know this?
1
Not at all
2
3
4
5
Perfectly
9
Q

Css Min Equation Multiple IV bolus Dose

A
How well did you know this?
1
Not at all
2
3
4
5
Perfectly
10
Q

At Cpss….(multiple IV dose)

A
How well did you know this?
1
Not at all
2
3
4
5
Perfectly
11
Q

Cav,ss Calculation

A
How well did you know this?
1
Not at all
2
3
4
5
Perfectly
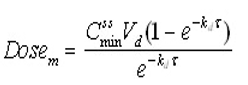
12
Q

Maintenance Dose Calculation

A
How well did you know this?
1
Not at all
2
3
4
5
Perfectly
13
Q

Continous IV Infusion Steady State

A
How well did you know this?
1
Not at all
2
3
4
5
Perfectly
14
Q

Multiple IV Dose Steady State

A
How well did you know this?
1
Not at all
2
3
4
5
Perfectly
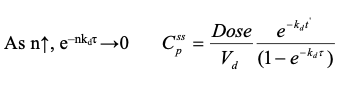
15
Q

Multiple Oral Dose Steady State

A
How well did you know this?
1
Not at all
2
3
4
5
Perfectly
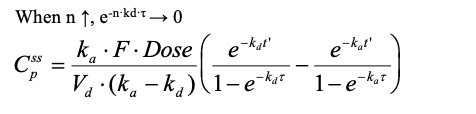
16
Q

Single Oral Dose Equation

17
Q

Steady State multiple oral doses

18
Q

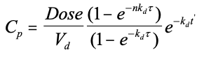
Css Min Multiple Oral Doses

19
Q

tssmax single dose

20
Q

Cssmax Multiple Oral Dose

21
Q

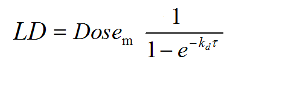
Loading Dose Multiple Oral Dose