Two Compartment Models Flashcards

(25 cards)

1
Q

Draw the two compartment model for IV bolus. What is each compartment and derive a formula?

A
How well did you know this?
1
Not at all
2
3
4
5
Perfectly
2
Q

What is the equation of an IV bolus injection?

A
How well did you know this?
1
Not at all
2
3
4
5
Perfectly
3
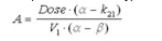
Q

How can one calculate A

A
How well did you know this?
1
Not at all
2
3
4
5
Perfectly
4
Q

How can one calculate B

A
How well did you know this?
1
Not at all
2
3
4
5
Perfectly
5
Q

Which is greater alpha or beta?

A

alpha > Beta

How well did you know this?
1
Not at all
2
3
4
5
Perfectly
6
Q

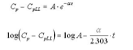
What is the equation for the log linear line of IV bolus?

A
How well did you know this?
1
Not at all
2
3
4
5
Perfectly
7
Q

How can one calculate half-life of beta?

A
How well did you know this?
1
Not at all
2
3
4
5
Perfectly
8
Q

How can one calculate the feathered line?

A
How well did you know this?
1
Not at all
2
3
4
5
Perfectly
9
Q

How can one calculate half-life of alpha?

A
How well did you know this?
1
Not at all
2
3
4
5
Perfectly
10
Q

CP0 of IV bolus

A
How well did you know this?
1
Not at all
2
3
4
5
Perfectly
11
Q

What is the equation for the volume of the central compartment?

A
How well did you know this?
1
Not at all
2
3
4
5
Perfectly
12
Q

What is the equation of the volume of the distribution phase?

A
How well did you know this?
1
Not at all
2
3
4
5
Perfectly
13
Q

How can one calculate the AUC of IV bolus dose?

A

mgL^-1H

How well did you know this?
1
Not at all
2
3
4
5
Perfectly
14
Q

Clearance of IV bolus dose

A
How well did you know this?
1
Not at all
2
3
4
5
Perfectly
15
Q

Fraction excreted unchange IV bolus dose

A
How well did you know this?
1
Not at all
2
3
4
5
Perfectly
16
Q

Draw the diagram of oral adminsitration two compartment and its derived equation

17
Q

Oral Two compartment Dose Equation

18
Q

AUC Oral 2 Compartment

19
Q

F of Oral

20
Q

Fraction excreted oral dose

21
Q

Clearance Oral

22
Q

Renal Clearance

23
Q

Hepatic Clerance

24
Q

Equation for the last portion of the trapezoidal rule of AUC

25
t1/2 equation
t1/2 = 0.693/Kd