Notebook 4 Flashcards

(35 cards)

1
Q

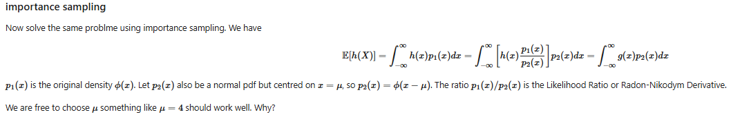
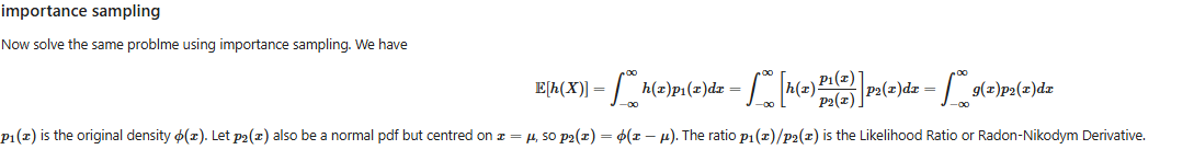
How do we apply importance sampling here?

A
How well did you know this?
1
Not at all
2
3
4
5
Perfectly
2
Q

How do we apply Naive Monte Carlo here?

A
How well did you know this?
1
Not at all
2
3
4
5
Perfectly
3
Q

What is the Naive Monte Carlo program that works here?

A
How well did you know this?
1
Not at all
2
3
4
5
Perfectly
4
Q

How do we apply importance sampling?

A
How well did you know this?
1
Not at all
2
3
4
5
Perfectly
5
Q

What is the algorithm for applying importance sampling here?

A
How well did you know this?
1
Not at all
2
3
4
5
Perfectly
6
Q

What is the Monte Carlo with importance sampling code?

A
How well did you know this?
1
Not at all
2
3
4
5
Perfectly
7
Q

What is the code for Importance sampling of a European call (Using alternative method)?

A
How well did you know this?
1
Not at all
2
3
4
5
Perfectly
8
Q

How do we use Naive Monte Carlo for the uniform distribution?

A
How well did you know this?
1
Not at all
2
3
4
5
Perfectly
9
Q

How do we model the uniform distribution using Stratified Sampling?

A
How well did you know this?
1
Not at all
2
3
4
5
Perfectly
10
Q

Modify the code above to compute the mean of the normal distribution N(1,1) using naive Monte Carlo sampling. Note, you should not draw the Y from the normal distribution; instead, you should use the inverse cdf to compute a normal sample X from the uniform sample Y.

A
How well did you know this?
1
Not at all
2
3
4
5
Perfectly
11
Q

Modify the code above to compute the mean of the normal distribution N(1,1)
using stratified sampling. In this case, you must first draw the Y from the uniform distribution, and then use the inverse cdf to compute a normal sample X.

A
How well did you know this?
1
Not at all
2
3
4
5
Perfectly
12
Q

What is the function of MC_euro_call()?

A
How well did you know this?
1
Not at all
2
3
4
5
Perfectly
13
Q

What is the function of MC_euro_call_delta ()?

A
How well did you know this?
1
Not at all
2
3
4
5
Perfectly
14
Q

What is the function of MC_euro_call_ant()?

A
How well did you know this?
1
Not at all
2
3
4
5
Perfectly
14
Q

What is the function of MC_euro_call_con()?

A
How well did you know this?
1
Not at all
2
3
4
5
Perfectly
15
Q

What is the function of MC_euro_call_imp()?

16
Q

What is the function of MC_euro_call _str?

Use M=10

17
Q

How can we validate the MC variation reduction formulas?

18
Q

What are the two ways to validate the variance of our MC functions?

19
Q

Can you implement the two ways to validate the variance of our MC functions?

20
Q

What is the function of MC_euro_call_delta_pathwise()?

20
Q

What is the function of MC_euro_call_delta_likelihood()?

21
Q

How do I compare my MC_delta methods to validate their accuracy?

22
Q

How do we estimate the sample size required to obtain an absolute error of 0.05 on the call price?

23
Which of the variation reduction methods required a smaller sample size to obtain an absolute error of 0.05 of the call price?
Antithetic = For Error = 0.05, the needed sample size is 2.1e+05 Control Variates = For Error = 0.05 the needed sample size is 8.9e+04 Importance Sampling = For Error = 0.05 the needed sample size is 4.3e+05 Stratified Sampling = For Error = 0.05 the needed sample size is 1e+05
24
Which of the delta methods required a smaller sample size to obtain an absolute error of 0.05 of the delta value?
Finite Difference = For Error = 0.05 the needed sample size is 5.4e+02 Pathwise = For Error = 0.05, the needed sample size is 5.9e+02 Likelihood Ratio = For Error = 0.05 the needed sample size is 4.8e+03
25
What are the imports needed when doing MC for Basket Options?
26
What is the mathematical formula for pricing Basket Options
26
What is the difference about our value of N in these Monte Carlo estimations?
26
How do you derive the Covariance matrix from this using code?
27
How do you derive the correlation matrix p from this covariance matrix?
28
What is the algorithm for completing an MC estimation of a European Call Basket Option Price?
29
What is the function of MC_Basket() used to calculate the price of a European Call Basket Option Price?
30
What is the function of MC_Basket_antithetic() used to calculate the price of a European Call Basket Option Price using the antithetic method of variance reduction?
31
Alternative code for MC_Euro_call_con()?