Notebook 6 Flashcards

(16 cards)

1
Q

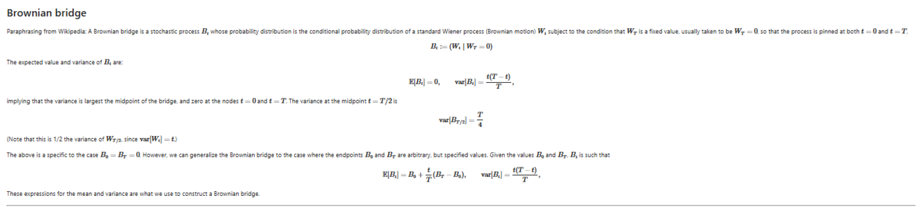
What is the formula for Brownian Bridges?

What its mean and variance?

What expression do we use you construct a Brownian Bridge?

A
How well did you know this?
1
Not at all
2
3
4
5
Perfectly
2
Q

What is the midpoint formula we will use to construct a Brownian Bridge?

A
How well did you know this?
1
Not at all
2
3
4
5
Perfectly
3
Q

What is the Brownbridge function?

A
How well did you know this?
1
Not at all
2
3
4
5
Perfectly
4
Q

How do we simulate Brownian paths from the Brownbridge function?

A
How well did you know this?
1
Not at all
2
3
4
5
Perfectly
5
Q

Alternative function for implementing BrownBridge_alt()?

A
How well did you know this?
1
Not at all
2
3
4
5
Perfectly
6
Q

What is the formula for local volatility?

A
How well did you know this?
1
Not at all
2
3
4
5
Perfectly
7
Q

What is the local volatility function volatility()?

A
How well did you know this?
1
Not at all
2
3
4
5
Perfectly
8
Q

How do we simulate a SDE_euro_call with local volatility?

A
How well did you know this?
1
Not at all
2
3
4
5
Perfectly
9
Q

GBM_Euler function for a basket option?

A
How well did you know this?
1
Not at all
2
3
4
5
Perfectly
10
Q

GBM_Euler function using Antithetic variance reduction for a basket option?

A
How well did you know this?
1
Not at all
2
3
4
5
Perfectly
11
Q

Using the GBM_Euler function to price a European Basket Option?

A
How well did you know this?
1
Not at all
2
3
4
5
Perfectly
12
Q

Using the GBM_Euler function to price a Asian Basket Option?

A
How well did you know this?
1
Not at all
2
3
4
5
Perfectly
13
Q

Using GBM_Euler function to price a lookback option?

A
How well did you know this?
1
Not at all
2
3
4
5
Perfectly
14
Q

Using GBM_Euler_Ant function to price a European Basket Option?

A
How well did you know this?
1
Not at all
2
3
4
5
Perfectly
15
Q

Using GBM_Euler_Ant function to price a Asian Basket Option?

A
How well did you know this?
1
Not at all
2
3
4
5
Perfectly
16
Q

Using GBM_Euler_Ant function to price a Lookback Basket Option?