Nucleic Acids Flashcards

(25 cards)

1
Q

What is the difference beween a nucleoside and a nucleotide

A

A nucleoside is a nitrogenous base + a pentose sugar, with no phosphate group. A nucleotide has a phosphate group

How well did you know this?
1
Not at all
2
3
4
5
Perfectly
2
Q

Purines have a ____-ring struncture, and pyrimidines have a ____- ring structrue

A

Purines have a two-ring struncture, and pyrimidines have a one- ring structrue

How well did you know this?
1
Not at all
2
3
4
5
Perfectly
3
Q

Name the mmnenonic for purines and pyrimidines

A

pure as gold (purines = adenine and guanine)
CUT the PIE (cytosine, uracil, thymine for CUT and PIE reminds you of the first two letters in pyrimidines)

How well did you know this?
1
Not at all
2
3
4
5
Perfectly
4
Q

Uracil is the demethylated version of what nitrogenous base?

A

Thymine

How well did you know this?
1
Not at all
2
3
4
5
Perfectly
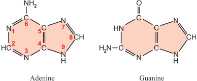
5
Q

adenine and guanine differ by adenine’s ____ group and guanine’s ____ group

A

adenine and guanine differ by adenine’s amine group and guanine’s carbonyl group

How well did you know this?
1
Not at all
2
3
4
5
Perfectly
6
Q

cytosine is the only pyrmidine with one ____ group

A

primary amine

How well did you know this?
1
Not at all
2
3
4
5
Perfectly
7
Q

the phosphodiester bond is the linkage between the 3’ carbon atom of one sugar molecule and the 5’ carbon atom of another, deoxyribose in DNA and ribose in RNA

A

phosphodiester bond

Strong covalent bonds form between the phosphate group and two 5-carbon ring carbohydrates (pentoses) over two ester bonds
How well did you know this?
1
Not at all
2
3
4
5
Perfectly
8
Q

We read DNA strands from the 5’ end to the 3’ end. The 5’ end is by the ____ group, and the 3’ end is by the ____ group

A

The 5’ end is by the phosphate group, and the 3’ end is by the OH group

How well did you know this?
1
Not at all
2
3
4
5
Perfectly
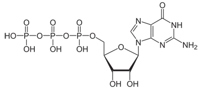
9
Q

Name this molecule

A

ATP!

Note, the nitrogenous base has one adenine
How well did you know this?
1
Not at all
2
3
4
5
Perfectly
10
Q

Name this molcule

A

GTP!

Note, the nitrogenous base is a guanine

How well did you know this?
1
Not at all
2
3
4
5
Perfectly
11
Q

Name this molecule

A

Cyclic adenosine monophosphate cAMP

crucial intracellular signaling molecule

in nucleotide monophosphates, a single phosphate group can attach to both 3’ and 5’ carbons, such as in cAMP

How well did you know this?
1
Not at all
2
3
4
5
Perfectly
12
Q

True or false

In shorthand form, nitrogenous bases are always written in the 5’ to 3’ direction, but nitrogenous bases are connected by 3’ to 5’ phosphodiester bonds

A

True

How well did you know this?
1
Not at all
2
3
4
5
Perfectly
13
Q

FAD, FMN, NAD, NADP+ and CoA are all ____

A

nucleotides that are cofactors

How well did you know this?
1
Not at all
2
3
4
5
Perfectly
14
Q

How many hydrogen bonds form between A and T?

A

2

How well did you know this?
1
Not at all
2
3
4
5
Perfectly
15
Q

How many hydrogen bonds are between C and G?

A

3

stands with more C-G pairs require higher temperatures for the strands to denature because there are more bonds

How well did you know this?
1
Not at all
2
3
4
5
Perfectly
16
Q

True or False

Purines pair with each other, and so do pyrimidines

A

False

purines pair with pyrimidines and vice versa

17
Q

Name this term

In DNA there is always equality in quantity between the bases A and T and between the bases G and C

A

Chargaff’s rule

%A=%T. %C = %G

18
Q

There are three types of DNA, A, B, and Z. The most commonly known one in which Watson and Crick applied their principles is B-DNA. Compare and contrast these 3 types of DNA

A
  • B-DNA is the typical right-handed double stranded helix, 10.5 bp per turn
  • A-DNA is deyhydrated & tighter than B-DNA, 11 bp per turn
  • Z-DNA is found in methylated DNA, is left-handed and looser, and has 12 bp per turn
19
Q

the over- or under-winding of a DNA strand, and is an expression of the strain on that strand

20
Q

a DNA segment that is overwound is ____ supercoiled, and one that is underwound is ____ supercoiled

A

a DNA segment that is overwound is positively supercoiled, and one that is underwound is negatively supercoiled

21
Q

a typical DNA strand is ____ supercoiled, making unwinding of the double helix for transcription more energetically favorable

A

negatively

negatively supercoiled = underwound

22
Q

the process in which complementary base pairs combine

A

Hybridization

the driving force of this is formation of hydrogen bonds between pairs

23
Q

the melting of annealed (joined) strands via heat application; can cause the reversible dissociation of the base-paired complex

in DNA, not in proteins

A

thermal denaturation

the heat causes the double stranded helix to unwind as the hydrophobic interactions between bases become insufficient to maintain a base-paired complex

24
Q

the temperature at which half of the DNA strands in a sample are in their single stranded (ssDNA) state

A

melting temperature (Tm)

depends on nucelotide length and sequence

C-G requires more heat to denature than A-T

25
what is the significance of denaturation and hybridization in PCR?
Denaturation is used to seperate strands and subsequent hybridization is used right before the amplification process to anneal the strands